β-酮酯熱重排后接著脫羧經負離子促進的Claisen重排反應生產γ-不飽和酮。這是Claisen重排反應的一種變異反應。

反應機理

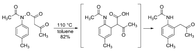
反應實例





參考文獻
1. (a) Carroll, M. F. J.Chem. Soc. 1940, 704-706. Michael F. Carroll worked at A.
Boake, Roberts and Co. Ltd., inLondon, UK. (b) Carroll, M. F. J. Chem. Soc. 1941,
507-511.
2. Ziegler, F. E. Chem. Rev.1988, 88, 1423-1452. (Review).
3. Echavarren, A. M.; Mendosa,J.; Prados, P.; Zapata, A. Tetrahedron Lett. 1991, 32,
6421–6424.
4. Enders, D.; Knopp, M.;Runsink, J.; Raabe, G. Angew. Chem. Int. Ed. 1995, 34,
2278-2280.
5. Enders, D.; Knopp, M. Tetrahedron1996, 52, 5805–5818.
6. Coates, R. M.; Said, I. M. J.Am. Chem. Soc. 1977, 99, 2355-2357.
7. Hatcher, M. A.; Posner, G.H. Tetrahedron Lett. 2002, 43, 5009-5012.
8. Jung, M. E.; Duclos, B. A. TetrahedronLett. 2004, 45, 107-109.
9. Defosseux, M.; Blanchard,N.; Meyer, C.; Cossy, J. J. Org. Chem. 2004, 69, 4626-4647.
10. Williams, D. R.; Nag, P. P.Claisen and Related Rearrangements. In Name Reactions
forHomologations-Part II; Li, J. J., Ed.;Wiley: Hoboken, NJ, 2009, pp 33-87. (Review).
11. Naruse, Y.; Todo, Y.;Shiomi, M. Tetrahedron Lett. 2011, 52, 4456-4460.
12. Abe, H.; Sato, A.;Kobayashi, T.; Ito, H. Org. Lett. 2013, 15, 1298-1301
本文來自 Name Reactions:A Collection of Detailed Mechanisms
and Synthetic Applications--Fifth Edition







