通訊作者:Erwin Reisner
通訊單位:劍橋大學化學系
論文DOI:10.1016/j.joule.2025.102165
近日,英國劍橋大學Erwin Reisner團隊構建了一種生物-有機-無機雜化的半人工樹葉,實現了高效穩定的光電化學合成,包括水還原析氫與CO2級聯不對稱合成。此項研究成果以“Semi-artificial leaf interfacing organic semiconductors and enzymes for solar chemical synthesis”為題發表于Cell旗下能源旗艦子刊《Joule》(影響因子35.4)。該器件的設計構建基于劉永鵬博士作為第一作者在光電化學生物雜化領域近三年發表的系列研究成果(Energy Environ. Sci.2025 18 7023;Angew. Chem.2025, 64, e202424222;J. Am. Chem. Soc.2024, 146, 29865;Chem. Sci.2024, 15, 6088;J. Phys. Chem. Lett.2024, 15, 6347;ACS Energy Lett.2023, 8 1645;JACS Au2023, 3 124)。
半人工光合作用融合材料科學與化學生物學,致力于可持續合成太陽能燃料。該技術通過酶的生物工程化改造實現高選擇性、高效率的化學轉化,并借助材料化學方法將酶與半導體光捕獲器理性耦合,形成可模塊化優化的光電化學系統。然而,現有生物混合光電化學系統面臨雙重挑戰:一方面需依賴動力學快速緩沖劑(消除pH梯度)和擴散介體(傳遞光生電荷),這些組分不僅成本高昂,易被光陽極氧化而阻礙燃料合成與析氧反應的化學計量耦合,還可能引發后續級聯反應的催化劑失活;另一方面,當前基于硅、鈣鈦礦、銅基硫族化合物等光活性材料的酶-光電器件,普遍存在光電壓不足、有毒金屬溶出、環境穩定性差或成本高昂等局限性。
本研究開創性地構建了基于有機光伏(OPV)的半人工光合作用系統,通過將本體異質結OPV與負載[NiFeSe]-氫化酶或[W]-甲酸脫氫酶的反蛋白石二氧化鈦電極耦合,利用酶的直接電子轉移能力實現了持續24小時的無偏壓產氫或CO2還原制甲酸。研究通過共固定碳酸酐酶調控局部反應環境提升效能,并借助電化學阻抗譜解析界面電荷轉移機制。該系統摒棄緩沖液與化學介體,不僅實現了甲酸溶液直接驅動不對稱氫化反應,更構建出完全依賴太陽能的人工葉片器件,在獨立系統中同步完成水氧化與燃料合成。
該器件由生物雜化有機光陰極和釩酸鉍光陽極構成(圖1)。雜化光陰極表面修飾了反蛋白石結構二氧化鈦以負載含鎢甲酸脫氫酶與碳酸酐酶,從而實現微環境調控的同時高效還原CO2生產甲酸鹽。釩酸鉍光陽極表面均勻負載鈦鈷基助催化劑,從而實現光電化學水氧化析氧反應。

圖1. 半人工樹葉示意圖及材料表征
生物電化學測試表明反蛋白石二氧化鈦電極可有效激活酶催化劑,實現接近0伏特的過電位和10小時的穩定性。有限元仿真表明共同錨定的碳酸酐酶可有效調節電化學反應局部微環境,穩定溶液pH值和CO2濃度(圖2)。

圖2. 生物電化學測試及微環境模擬
電化學阻抗譜測試不僅首次實現了對CO2還原酶體系的定量動力學解析,成功揭示了氫化酶與甲酸脫氫酶的界面電子轉移動力學特征,更精準捕捉到碳酸酐酶通過協同作用對電極界面電阻與雙電層電容的雙重調控機制。這一突破性發現填補了生物-非生物界面電荷傳輸機制的定量研究空白,為深化理解生物電化學系統的能量轉換原理提供了關鍵理論依據(圖3)。

圖3. 電化學阻抗譜分析
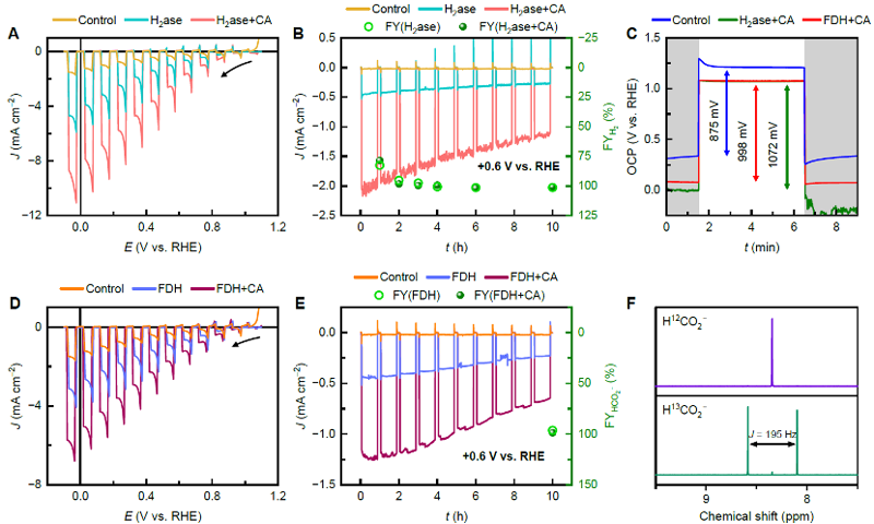
研究構筑的高性能生物-有機雜化光陰極,在光電測試中表現出色,光電流密度接近10 毫安每平方厘米,光電壓接近1伏特,并可穩定工作10小時。更重要的是,我們通過核磁共振氫譜明晰了反應路徑,確證了甲酸鹽是由CO2還原生成,驗證了該體系用于太陽能燃料合成的高效性與專一性(圖4)。

圖4. 生物-有機雜化光陰極的光電化學測試結果
該耦合OPV光陰極與釩酸鉍光陽極的半人工葉片,成功在無偏壓條件下實現了以水氧化析氧驅動的高效析氫與CO2還原產甲酸鹽。所生成的甲酸鹽無需純化即可直接用于不對稱合成,實現了太陽能燃料到高附加值化學品的增值轉化(圖5)。

圖5. 半人工葉片在無偏壓條件下的光電化學測試結果
本研究成功構建了一種基于有機光伏(OPV)的高效、可持續半人工光合系統。通過理性設計,將OPV光陰極與負載特定還原酶([NiFeSe]-氫化酶或[W]-甲酸脫氫酶)的納米結構電極耦合,利用其直接電子轉移(DET)機制,在無需化學介體和緩沖液的條件下,實現了無偏壓驅動的高效析氫與CO2還原制甲酸鹽。該系統展現出優異的光電流密度、光電壓及長期運行穩定性。電化學阻抗譜(EIS)首次實現了對生物-非生物界面電荷轉移動力學的定量解析,揭示了碳酸酐酶(CA)通過調控局部微環境對性能的提升作用。最終,我們不僅成功演示了將甲酸鹽溶液直接用于驅動不對稱合成反應,還構建了全水分解的獨立式“半人工葉片”,實現了太陽能到化學能的完整轉化,為太陽光驅動的高附加值化學品合成提供了新的研究思路。







