【英文名稱】 Phenyl Isothiocyanate
【分子式】 C7H5NS
【分子量】 135.19
【CA 登錄號】 [103-72-0]
【縮寫和別名】 PITC
【結構式】 Ph-N=C=S
【物理性質】 常溫常壓下為液體,mp –21 oC;bp 221 oC;d 1.1288 g/cm3不溶于水,溶解于醇和醚。
【制備和商品】 該試劑在大多數試劑公司均有銷售可以在硒催化下,三氯甲基碳酸酯與硫粉、N-苯基甲酰胺反應制備得到[1]。
【注意事項】 對濕氣敏感,需要在通風櫥內操作。
--------------------------------------------------------
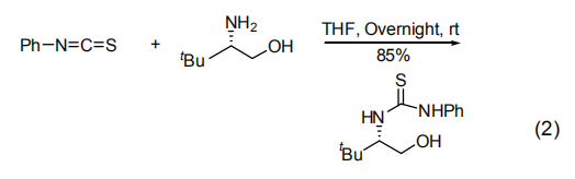
異硫氰酸苯酯可用來合成苯硫脲衍生物[2~4]和雜環化合物[5,6]。
合成苯硫脲
異硫氰酸苯酯與胺反應,形成苯硫脲衍生物 (式 1,式 2)[7,8]。

在正丁基鋰作用下,芳香烴衍生物也可以與異硫氰酸苯酯在苯環上發生反應 (式 3)[9]。

環合反應
異硫氰酸苯酯可以合并到環結構中,從而產生各種各樣的雜環化合物 (式4~式 6)[10,11]。

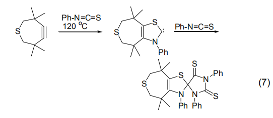
[3+2] 環加成反應
異硫氰酸苯酯可以與炔發生環加成反應,形成的有機活性中間體卡賓再與過量異硫氰酸苯酯反應,形成相應雜環化合物 (式 7)[12]。

參 考 文 獻
1. Bly, R. S.; Perkins, G. A.; Lewis, W. L. J. Am. Chem. Soc., 1922, 44, 2896.
2. Okino, T.; Hoashi, Y.; Takemoto, Y. J. Am. Chem. Soc., 2003, 125, 12672.
3. Lee, G. J.; Kim, T. H.; Kim, J.; Nyoung, L. Tetrahedron: Asymmetry, 2002, 13, 9.
4. Fruit, C.; Turck, A.; Ple, N.; Mojovic, L.; Queguiner, G. Tetrahedron, 2002, 58, 2743.
5. Yamamoto, Y.; Takagishi, H.; Itoh, K. N. J. Am. Chem. Soc., 2002, 124, 28. 6. Szakonyi, Z.; Martinek, T.; Hetenyi, A.; Fulop, F. Tetrahedron: Asymmetry, 2000, 11, 4571.
7. Thiagarajan, V.; Ramamurthy, P.; Thirumalai, D.; Ramakrishnan, V. T. Org. Lett., 2005, 7, 657.
8. Munslow, I. J.; Wade, A. R.; Deeth, R. J.; Scott, P. Chem. Commun., 2004, 2596.
9. Smith, K.; El-Hiti, G. A.; Shukla, A. P. J. Chem. Soc. Perkin Trans. 1, 1999, 16, 2305.
10. Kuo, F. M.; Tseng, M. C.; Yen, Y. H.; Chu, Y. H. Tetrahedron, 2004, 60, 12075.
11. Uwe, H.; Daniela, S.; Siegfried, J.; Marion, L.; Annett, P.; Henning, S. B. Tetrahedron, 2004, 60, 9883.
12. Adolf, K.; Dirk, S.; Wolfgang, S. J. Org. Chem., 2000, 65, 8940.
本文轉自:《現代有機合成試劑——性質、制備和反應》,胡躍飛等編著







