
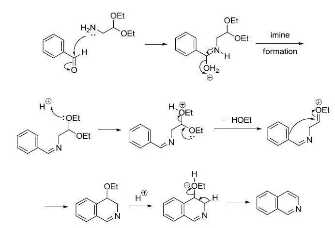
苯乙胺和醛基乙縮醛縮合并在酸性條件下關環得到異喹啉的反應,此反應和Pomeranz–Fritsch反應類似,只是反應底物對調。
Pomeranz–Fritsch反應:


反應實例

參考文獻
1. Schlittler, E.; Müller, J. Helv. Chim. Acta 1948, 31, 914


苯乙胺和醛基乙縮醛縮合并在酸性條件下關環得到異喹啉的反應,此反應和Pomeranz–Fritsch反應類似,只是反應底物對調。
Pomeranz–Fritsch反應:


反應實例

參考文獻
1. Schlittler, E.; Müller, J. Helv. Chim. Acta 1948, 31, 914