文|二甲亞砜 編|來蘇兒 圖|來源于網絡
(2)其它稠環芳烴(了解)
除了萘以外,其它比較重要的稠環芳烴還有蒽和菲等。
蒽和菲分子中都有鍵長平均化的傾向,但鍵長并未完全平均化,其每個苯環的離域能小于萘,更小于苯:
∴芳香性:苯>萘>菲>蒽!
蒽的化學性質——
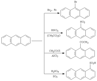
蒽與菲的反應大多發生在9,10位上。
①由于蒽環不如苯環和萘環穩定,容易發生加成反應,反應部為反應部位在9、10位上。
它不僅可以催化加氫和還原,而且還能與鹵素加成,也可以作為雙烯供體進行Diels-Alder反應。雙烯供體進行Diels-Alder反應
②親電取代
蒽發生親電取代反應時,例如進行鹵化、硝化和F—C酰基化反應時,取代基主要進入γ-位;當進行磺化反應時,磺酸基主要進入蒽環的α-位。
蒽容易發生取代反應。但由于取代產物往往都是混合物,故在有機合成上實用意義不大。
③氧化反應
在工業上,通常以V2O5作催化劑,采取在300~500℃空氣催化氧化法制造蒽醌。通過傅-克酰基化反應也可以將苯和鄰苯二甲酸酐轉變為蒽。
④加氫或還原:
3
非苯芳烴
研究表明,除了苯以外,還有許多其他環狀化合物也具有芳香性。
(1)薁
薁為天藍色晶體,故也稱藍烴。熔點99℃,和萘是同分異構體,由一個七元環和一個五元環稠合而成:
薁分子中有10個π電子,滿足4n+2規則,具有芳香性。其芳香性表現在:它不發生雙烯特有的Diels-Alder反應,但容易發生親電取代和親核取代反應。
(2)輪烯
輪烯——是一類具有交替單雙鍵的單環共軛多烯。一般指成環碳原子數≥10的單環共軛多烯。
命名時以輪烯為母體,將環內碳原子總數以帶方括號的阿拉伯數字放在母體名稱前讀作某輪烯。








