
酸或堿催化下醛糖的N-糖苷(糖胺,glycosylamines)異構化生成1-胺基-1-脫氧酮糖的反應被稱為Amadori重排反應。此反應的底物和產物都稱為“Amadori化合物”。各種Lewis酸都已應用于此反應:CuCl2 , MgCl2 , HgBr2 , CdCl2 , AlCl3 , SnCl4 , etc。此反應中只需催化量的酸就可以催化胺和醛糖反應,進而重排。伯胺,仲胺,脂肪胺或芳香胺都可以發生此反應。糖胺類化合物會發生復雜的美拉德反應(食物在烹飪或儲藏過程中糖,胺,氨基酸和蛋白質等進行重排和降解)。此反應中生成的黑色產物是由于發生了此類非酶褐變反應。
反應機理
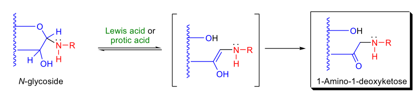
首先路易斯酸(下圖的H)先和N-糖苷環上的氧原子進行配位絡合,然后開環,接著脫質子形成烯醇中間體,最后中間體重排生成1-胺基-1-脫氧酮糖。

反應實例
一、 Bioorg. Med. Chem. 2000, 8, 717-722.

二、 Tetrahedron Lett. 1996, 37, 2939-2942.

三、J. Chem. Soc., Perkin Trans. 1 1998, 909-914.

編譯自: Strategic Applications of Named Reactions in Organic Synthesis, László Kürti and Barbara Czakó, Amadori reaction/rearrangement, page 14-15.







