用雙(2-甲氧基乙氧基)氫化鋁(SMEAH,又常稱紅鋁)或鋰鋁氫立體選擇性地還原炔基醇為E-烯丙基醇的反應。

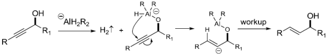
反應機理

反應實例





參考文獻
1. Chan, K.-K.; Cohen, N.; DeNoble, J. P.; Specian, A. C., Jr.; Saucy, G. J. Org. Chem. 1976, 41, 3497-3505.
2. Blunt, J. W.; Hartshorn, M.P.; Munro, M. H. G.; Soong, L. T.; Thompson, R. S.; Vaughan, J. J. Chem. Soc.,Chem. Commun. 1980, 820-821.
3. Midland, M. M.; Gabriel, J. J.Org. Chem. 1985, 50, 1143-1144.
4. Meta, C. T.; Koide, K. Org.Lett. 2004, 6, 1785-1787.
5. Yamazaki, T.; Ichige, T.;Kitazume, T. Org. Lett. 2004, 6, 4073-4076.
6. Xu, S.; Arimoto, H.; Uemura,D. Angew. Chem. Int. Ed. 2007, 46, 5746-5749.
7. Chakraborty, T. K.; Reddy,V. R.; Gajula, P. K. Tetrahedron 2008, 64, 5162-5167.
8. Krishna, P. R.; Krishnarao,L.; Reddy, K. L. N. Beilstein J. Org. Chem. 2009, 5, No.14.
9. Yadav, J. S.; Krishna, V.H.; Srilatha, A.; Somaiah, R.; Reddy, B. V. S. Synthesis 2011, 3004-3012.
10. Krishna, P. R.; Alivelu, M.Helv. Chim. Acta 2011, 94, 1102-1107.
本文來自 Name Reactions:A Collection of Detailed Mechanisms
and Synthetic Applications--Fifth Edition







