
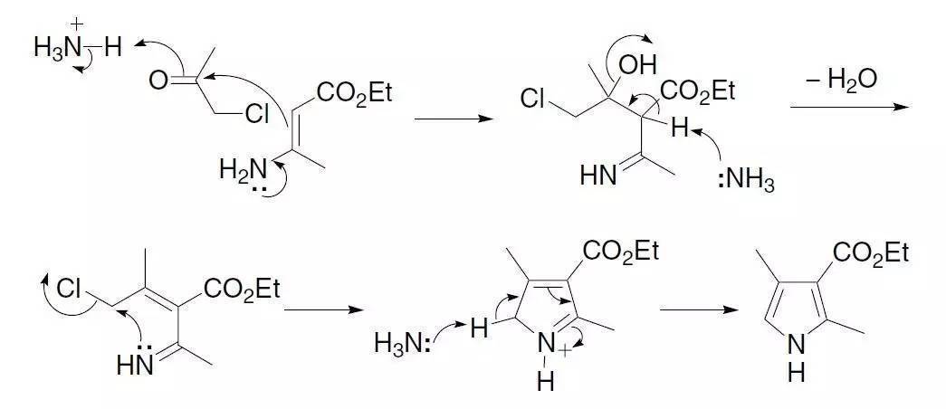
α-鹵代甲基酮,β-酮基酯和氨縮合得到吡咯的反應。
反應機理


反應實例


參考文獻
1. Hantzsch, A. Ber. Dtsch. Chem. Ges. 1890, 23, 1474.
2. Hort, E. V.; Anderson, L. R. Kirk-Othmer Encycl. Chem. Technol.; 3rd Ed.; 1982, 19,
499. (Review).
3. Katritzky, A. R.; Ostercamp, D. L.; Yousaf, T. I. Tetrahedron 1987, 43, 5171.
4. Kirschke, K.; Costisella, B.; Ramm, M.; Schulz, B. J. Prakt. Chem. 1990, 332, 143.
5. Kameswaran, V.; Jiang, B. Synthesis 1997, 530.
6. Trautwein, A. W.; Sü







