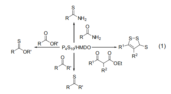
【英文名稱】 Diphosphorus Pentasulfide
【分子式】 P4S10
【分子量】 444.55
【CA 登錄號】 [1314-80-3]
【結構式】 P4S10
【物理性質】 五硫化二磷,淡黃色晶體。mp 286~290 oC,d 2.090 g/cm3。
【制備和商品】 P4S10在各大試劑公司均有銷售。
【注意事項】 P4S10具有高度可燃性,遇到濕氣會發生分解,應在低溫干燥處密閉保存。
--------------------------------------------------------






參 考 文 獻
1. Curphey, T. J. Org. Chem., 2002, 67, 6461.
2. Thomsen, I.; Clausen, K.; Scheibye, S.; Lawesson, S. O. Org. Synth., 1984, 64, 158.
3. Blade-Font, A.; Aquila, S.; De Mas, T.; Torres, J. M. J. Chem. Res. (S), 1981, 58.
4. Madesclaire, M. Tetrahedron, 1988, 44, 6537.
5. Cava, M. P.; VanMater, J. P. J. Org. Chem., 1969, 34, 538.
6. Chetia, A.; Saikia, A.; Saikia, C. J.; Boruah, R. C. Tetrahedron Lett., 2003, 44, 2741.
本文轉自:《現代有機合成試劑——性質、制備和反應》,胡躍飛等編著







