
【英文名稱】3,4-Dihydro-2H-Pyrandichloropropene
【分子式】 C5H8O
【分子量】84.12
【CA登錄號】[110-87-2]
【物理性質】bp 86 oC,mp –70 oC,fp –15 oC;d 0.922 g/cm3。溶于水和乙醇。
【注意事項】該試劑與過氧化物接觸時,生成敏感的過氧化物。純化這些化合物會引起劇烈爆炸,分離這些產品要十分小心。
--------------------------------------------------------
3,4-二氫-2H-吡喃廣泛用于羥基的保護,一般不與親核試劑和有機金屬試劑反應,耐強堿,在低pH 值或者Lewis 酸條件下易變化。
一、醇的四氫吡喃化
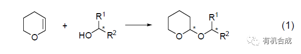
四氫吡喃(THP)對醇的保護在有機合成中是十分有用的工具。手性醇與二氫吡喃的反應引入了另外一個非對稱中心,因此得到非對映混合物 (式1)。這對純化和光譜分析帶來一定的困難,但并不妨礙其成功的應用[1]。

在非常溫和的反應條件下(0 oC,1 h,89%~100%),用(三甲基硅烷基)硫酸酯可以使醇發生四氫吡喃基化反應,即使用丙烯基叔醇也不會有重排反應發生。
四氫吡喃衍生物的分解,在 MEM 醚、MOM 醚和1,3-二氧環戊烷存在條件下,有機錫磷酸鹽縮合反應對于TEM 醚的選擇性分裂十分有效,催化劑能重復使用。在叔丁基二甲硅烷基、乙酰基、甲磺酰基和甲氧甲醚以及在甲磺酰基催化劑Me2Sn(SMe)2-BF3·Et2O 存在下,伯、仲、叔醇的THP 醚會發生選擇性裂分[2]。
一種簡單有效高化學選擇性的醇類和酚類化合物四氫吡喃基化的方法是在室溫下,以催化量的AlCl3為載體的聚苯乙烯作用下進行的。此方法對于對稱二醇的單保護有很高的選擇性 (式7)[8]。

二、硫醇的四氫吡喃化
硫醇的四氫吡喃衍生物可用于官能團的屏蔽反應中 (式2)。

與 O-四氫吡喃醚相比,S-四氫吡喃醚在4mol/L HCl-MeOH條件下也能穩定存在。用硝酸銀或溴化氫-三氟乙酸脫保護的反應很容易進行,有很高的產率。用碘或硫化氰、二硫化物可發生氧化反應[3]。
三、胺的四氫吡喃化
在催化量的對甲苯磺酸存在下,嘌呤與二氫吡喃反應生成9-(2-四氫
吡喃)衍生物 (式3)[4]。

四、二氫吡喃的開環反應
用正戊基鈉或正丁基鋰處理的二氫吡喃生成反式4-羥基-1-醇
(式4)[5]。

五、其他
在有機合成中,用THP 保護的基團有廣泛應用。使用帶有鏈端保護醚的Gilman 銅酸鹽試劑可以引入順式-CH=CHCH2OH 的結構(式5)[6]。

二氫吡喃與BrCH2C(NOH)CO2Et 生成的嗪化合物可應用于氨基三酯的合成中(式6)[7]。

參考文獻
1. Corey, E. J.; Wollenberg, R. H.; Williams, D. R. Tetrahedron Lett., 1977, 2243.
2. Bolitt, V.; Mioskowski, C.; Shin, D. S.; Falck, J. R. Tetrahedron Lett., 1988, 4583.
3. Menger, F. M.; Chu, C. H. J. Org. Chem., 1981, 46, 5044.
4. Sato, T.; Otera, J.; Nozaki, H. J. Org. Chem., 1990, 55, 4770.
5. Speziale, A. J.; Ratts, K. W.; Marco, G. J. J. Org. Chem., 1961, 26, 4311.
6. Corey, E. J.;Wollenberg, R. H. J. Org. Chem., 1975, 40, 2265.
7. Gallos, J. K.; Sarli, V. C.; Massen, Z. S.; Varvogli, A. C.; Papadoyanni, C. Z.; Papaspyrou, S. D.; Argyropoulos, N. G. Tetrahedron, 2005, 61, 565.
8. Tamami, B.; Borujeny, K. P. Tetrahedron Lett., 2004, 45, 715.
本文轉自:《現代有機合成試劑——性質、制備和反應》,胡躍飛等編著







