如果將過去一個世紀的化學領域比作是浩瀚的銀河,E.J. Corey(Elias James Corey)教授無疑是其中最為耀眼的群星之一。發表了1000多篇學術論文的E.J.憑借在有機合成領域做出的諸多開拓性貢獻,曾先后獲得美國國家科學獎章(1988)與諾貝爾化學獎(1990)。美國化學會也在2004年授予他普利斯特里獎(Priestley Medal),這是美國化學會(ACS)的最高榮譽。

E.J.Corey (Harvard大學教授)
E.J.Corey 因提出“逆合成分析原理”,將有機合成路線設計技巧藝術的變成了嚴格的思維邏輯科學而獲得1990年諾貝爾化學獎。近代全合成之祖,人名反應數不勝數:Corey-Bakshi-Shibata,Corey-Chaykovsky,Corey-Fuchs,Corey-Kim,Corey-Nicolaou,Corey-Winter,Corey-Seebach??
Corey 根據他的極為豐富的有機合成路線設計經驗,將有關有機合成路線設計的總的策略分為五個方面,被稱為“五大策略”。這就是:
基于轉化方式的策略(Transform-basedstrategies)
基于結構目標的策略(Structural-goalstrategies)
拓撲學的策略(Topologicalstrategies)
立體化學的策略(Stereochemicalstrategies)
基于官能團的策略(Functionalgroup-based strategies)
無論是何種策略,Corey在反合成思考中是很重視對目標物“分子復雜度(molecularcomplexity)”的逐步減小。
所謂分子復雜度是由分子的大小(molecularsize)、所有的元素和官能團、環的結構和數量(Corey把這種cyclicconnection 就稱為topology)、立體中心的數目或密度、化學活潑性與結構穩定性(即動力學和熱力學穩定性)等各種因素綜合組成的。一個復雜分子的成功的合成就在于對其進行反合成分析時,正確的邏輯推導以逐步減少分子復雜度。
1. 基于轉化方式的策略(Transform-based strategies)
選擇有高效的,簡化的轉化方式,以列出一條起自目標物(TGT或goal)的反合成路線,也可以分成多個反合成步驟(antisynthetic steps),而有多個亞目標物(sub-goals)。基于轉化方式的策略就是在合成的幾個關鍵反應上選擇最佳的單元合成反應。




2. 基于結構目標的策略(Structural-goalstrategies)
從目標物的分子結構出發考慮引向一個有效的前體,可以是中間體,逐步反推到合成的起始物。也可以有多條反合成路線而再加以比較。也可以雙向探索(bidirectional search),即從目標物反推到某中間體,再由已的原料出發列出合成此中間體的路線。
在目標物分子結構已知的前提下,可以探索是由哪些部分聯結起來組成目標物的,也就是在反合成中目標物分子可拆成哪些部分使合成能有效地,簡化地進行。
此時,應考慮:根據目標分子的結構,可分成不變的主體結構(也可以將主體結構分成幾個部分,Corey 都稱它們為 building blocks)和含有反合成子的亞結構(retron-containing subunits,反合成中要變化的)。這步探索就是為了找到目標結構(S-goal),并由此找到目標起始物,即原料(SM-goal)。

3. 拓撲學的策略(Topologicalstrategies)
這里應用了數學上的名詞“拓撲學”,其化學含義就是從目標分子的鍵的聯結(connection)方式出發,考慮一個或幾個斷鍵(disconnections)的地方,著手反合成的思路。
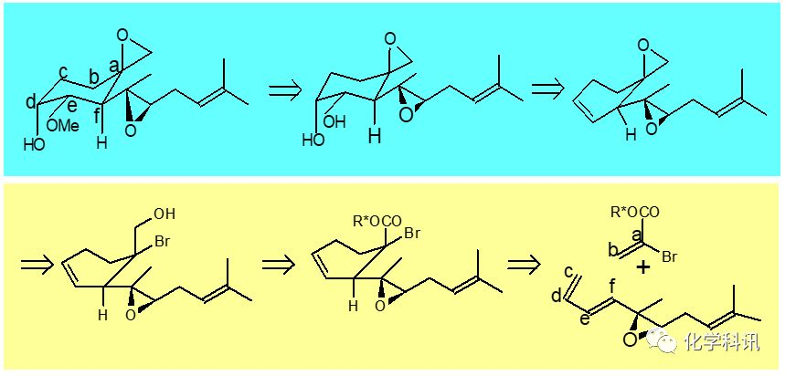
它有一整套斷開位置規律的總結,可分成無環鍵和環鍵,環鍵又可分成孤立環、螺環、稠環、橋環等體系。當然,反合成分析時,有一些環可以保持的,即作為不變的主體結構(building blocks)對待。反合成中,這些環保持不變。合成時,他們直接來自原料。
非環鍵的斷開可有如下規律:
確定可保持的主體結構。芳環、芳烷、烷基可屬于此類結構。要考慮到它們應達到最大利用效率。如能保持一個芳烷基要比保持一個芳基為好。這樣才能是合成達到較高的簡化。
如環直接嵌入骨架中,不要在環旁切斷,而應在離環1-3個碳原子處。有立體中心時,也在離該中心1-3個原子處切斷。在兩個官能團之間,也在其中1-3個碳原子處斷開。
碳原子和雜原子的連接處是切開的地方。
如一個分子切開后,能出現兩個相同的部分,這是切開的好地方,會引來合成的簡化。
孤立環的斷開
不屬于要保持的,又處于分子骨架中間的單個的環可以考慮斷一個或兩個鍵。此是可考慮在雜原子旁斷開,能導致產生對稱結構處更應斷開。
環中應斷開那些容易合成的鍵,如內酯、半縮醛、半縮酮等。
(1)為了使稠環簡化,當然應該斷開稠合處

(2)三員環斷開時,當然是 2+1拆開;四員環斷開時應是2+2。
(3)有些環是優先考慮拆開的,如內酯、縮酮、內酰胺、半縮酮等。
(4)有些多核稠環,如甾體化合物有特殊的斷開方法
4. 立體化學的策略(Stereochemicalstrategies)
針對有立體結構的目標物,用立體化學的方法,即考慮到立體的關聯性,逐個地去除(remove)立體中心。在多個立體中心中要選擇暫時保留,還是首先去除。
在這一策略中,反合成時要考慮的是:立體復雜性的減小,即通過反合成逐步減小立體中心(注意:這里是立體中心,stereocenter,其含義的包括手性中心、有E與Z二式的雙鍵、還有像環己烷一樣的立體構象等各種立體關系)的數目和密度,將它們進行選擇性的移去。為此目的,就必須考慮立體簡化轉化方式(stereosimplifyingtransform)的選擇,所需反合成子的建立,前體所有的空間環境等。這種前體也就是合成反應時試劑所作用的底物(substracts)。
這種簡化-轉化方式是多種多樣的,因而有各種不同的控制方法。有所謂“底物控制” 的方法。見下一逆合成

5. 基于官能團的策略(Functionalgroup-based strategies)
根據目標物分子所有的各官能團選擇適當的官能團變化方式。官能團按它們在有機合成中的作用可分成三類:
在合成起最重要作用的官能團。常見的有C=C,C=O,C=C,C—OH,—(CO)O—,—NH2,—NO2,—CN等;
有一些官能團在合成中,其作用要差一些,如—N=N—,—S—S—,R3P 等,但在某些場合下仍然起較好作用;
有些官能團不在分子的重要部位,而在周圍(peripheral),但在合成中起活化或控制作用,因而在目標分子中可能沒有,而是在合成過程中再出現的。如—Hal,—P—,—SO2—,Me3Si— 以及各種硼烷等。這些周圍的官能團還包括連接在基本基團上的另一些基團,如烯胺,鄰二羥基,亞硝基脲,β-羥基-α,β-烯酮,胍等。
官能團決定骨架的斷開


在反合成分析中,有幾個重要的方法要注意:
⑴ 很重要的一條是關于聯結轉化(connective transforms)方式,也即斷裂方式的選擇。
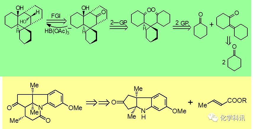
例如環中雙鍵的斷裂就是常遇到的問題。一般可以采取兩種方法:一是用臭氧化,一步就可完成;另一要兩步才能完成,如OsO4---Pb(OAc)4法等。見下面兩個反應。

⑵ 有時,為了合成一個較大的環,往往先有一個較小的環,通過開環與閉環,再形成較大的環。這里仍會涉及附加物的參加。
見下面幾個例子:









