含活潑亞甲基的酯在堿金屬鹽存在下,DMSO中脫除烷氧羰基。該反應可取代乙酰乙酸乙酯合成法和丙二酸酯合成法中最后酯的水解和脫羧兩步反應。值得一提的是,Krapcho反應是一意外發現,原先的目的是用KCN進行Sn2取代反應,缺意外的得到部分氧羰基脫除產物。后來反現堿金屬LiI,LiCl,KCN,NaCN,LiCN均可用于這個反應。

反應機理

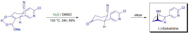
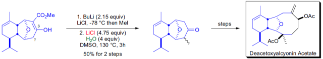
反應實例




參考文獻
1. Bernhard, A. Benzoylation ofacetoacetic esters. Liebigs Ann. Chem. 1894, 282, 153-191.
2. Meerwein, H. New Method of KetoneDecomposition of a-Ketonic Esters. Ann. 1913, 398, 242-250.
3. Meerwein, H., Schurmann, W.Synthesis of Derivatives of Bicyclo(1,3,3)nonane. I. Ann. 1913, 398, 196-242.
4. Fürstner, A., Krause, H.Flexible Synthesis of Metacycloprodigiosin and Functional Derivatives Thereof. J. Org. Chem. 1999, 64, 8281-8286.
5. Evans, D. A., Scheidt, K. A.,Downey, C. W. Synthesis of (-)-epibatidine. Org. Lett. 2001, 3, 3009-3012.
6. Molander, G. A., St. Jean, D. J.,Jr., Haas, J. Toward a General Route to the Eunicellin Diterpenes: TheAsymmetric Total Synthesis of Deacetoxyalcyonin Acetate. J. Am. Chem.Soc. 2004, 126, 1642-1643.
7.Jonasson, C., Roenn, M., Baeckvall, J.-E. An Enantioselective Route toPaeonilactone A via Palladium- and Copper-Catalyzed Reactions.J. Org. Chem. 2000, 65, 2122-2126.
摘自:有機人名反應——機理及應用 第四版,Strategic Applications of Named Reactions in Organic Synthesis







