近幾十年來,由于有選擇地檢測、提取和運輸負電荷物種的需要,負離子識別領域經歷了巨大的發展,負電荷物種在化學、生物、醫學和環境等領域發揮著重要的作用過程。鹵素鍵型陰離子受體在競爭性質子溶劑介質中經常表現出比氫鍵類似物更好的性能。
根據最近一個IUPAC工作組提出的統一定義,當有證據表明與分子實體中的鹵素原子相關聯的親電區域與另一個或相同的親核區域之間存在凈吸引相互作用時,就會產生鹵鍵。注意,在這個層面下,鹵鍵和氫鍵具有相似的性質。

前幾次的σ-hole沒有找到很好的圖,這里有一個高清大圖~
研究者對XB供體基團引入陰離子受體分子具有很大興趣。迄今為止開發的絕大多數受體已將haloperfluoroarene,halotriazole/halotriazolium 或者 haloimidazolium基團(鹵代氟芳烴,鹵代三唑,鹵代唑鎓和鹵代咪唑鎓)作為極化的XB供體基團引入。

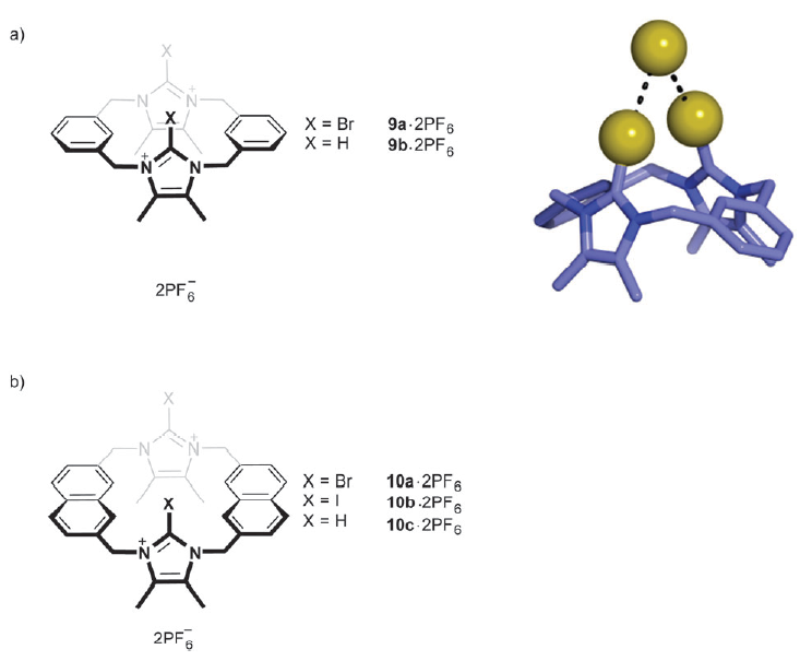
上圖給出一個輪烷和環烷的例子,其中包含鹵鍵相互作用。而下面的籠狀分子,則因為特定的空間取向和加深的勢阱,使得配合物更為穩定。


在鹵鍵的結合過程中,咪唑集團可以說是非常重要了。根據廣義共振式,咪唑集團上的鹵素原子具有相當的正電性,這也是鹵鍵形成的充分條件。從而,吸電子基團更加有利于σ-hole的形成,使得鹵鍵更容易形成。








