
【Catellani, M.; Frignani, F.; Rangoni, A. Angew. Chem. Int. Ed. Engl. 1997, 36,119–122.】
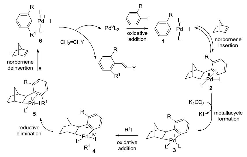
在降冰片烯(Norbornene)與Pd共同催化作用下,芳基碘化物先和降冰片烯進行Heck反應,接著鄰位C-H活化進行烷基化或芳基化的反應,最后再和端基烯烴偶聯(lián)得到鄰位取代的烯基芳烴的反應。此反應是三組分偶聯(lián)反應。鄰位單取代的芳基碘化物作為底物則可以得到不同鄰位取代基的烯基芳烴。
1997年意大利化學家Catellani首次報道了此反應,因此也由其名字命名。

反應機理
Pd在催化循環(huán)中分別經(jīng)歷了0?II?IV價態(tài)。在苯環(huán)鄰位C-H活化階段,首先是反應性較高的降冰片烯進行插入,拉近了Pd與鄰位C-H的距離后完成的整個催化循環(huán)。最近計算化學再次驗證解釋了其具體反應機理(Catellani M. et al, J. Am. Chem. Soc. 2011, 133, 8574. DOI:10.1021/ja110988p )

反應實例

【(a) Lautens, M.; Piguel, S.; Dahlmann, M. Angew. Chem. Int. Ed. Engl. 2000, 39, 1045–1046. (b) Lautens, M.; Paquin, J.-F.; Piguel, S. J. Org. Chem. 2001, 66, 8127–8134. (c) Lautens, M.; Paquin, J.-F.; Piguel, S. J. Org. Chem. 2002, 67, 3972–3974.】

【Angew. Chem. Int. Ed. 2013, 125, 5413–5416】

【Synthesis 2003, 2671–2678】

【J. Am. Chem. Soc. 2004, 126, 78–79.】

【Angew. Chem. Int. Ed. 2011, 50, 6896–6899;
Angew. Chem. Int. Ed. 2011, 50, 12257–12261.】
相關文獻
1. (a) Tsuji, J. Palladium Reagents and Catalysts – New Perspective for the 21st Century,2004, John Wiley & Sons, pp. 409–416. (b) Catellani, M. Synlett 2003, 298–313. (c) Catellani, M. Top. Organomet. Chem. 2005, 14, 21–53. (d) Catellani M.; Motti E.; Della Ca’ N. Acc. Chem. Res. 2008, 41, 1512–1522. (e) Martins, A.; Mariampillai, B.; Lautens, M. Top Curr Chem 2010, 292, 1–33. (f) Chiusoli, G. P.; Catellani, M.; Costa, M.; Motti, E.; Della Ca’, N.; Maestri, G. Coord. Chem. Rev. 2010, 254, 456–469.
2. (a) Catellani, M.; Frignani, F.; Rangoni, A. Angew. Chem. Int. Ed. Engl. 1997, 36,
119–122. (b) Catellani, M.; Fagnola, M. C. Angew. Chem. Int. Ed. Engl. 1994, 33,2421–2422.
3. Catellani, M;. Cugini, F. Tetrahedron, 1999, 55, 6595–6602.
4. (a) Lautens, M.; Piguel, S.; Dahlmann, M. Angew. Chem. Int. Ed. Engl. 2000, 39,
1045–1046. (b) Lautens, M.; Paquin, J.-F.; Piguel, S. J. Org. Chem. 2001, 66, 8127–8134. (c) Lautens, M.; Paquin, J.-F.; Piguel, S. J. Org. Chem. 2002, 67, 3972–3974.
5. Weinstabl, H.; Suhartono, M.; Qureshi, Z.; Lautens, M. Angew. Chem. Int. Ed. 2013,125, 5413–5416.
6. Maestri, G.; Motti, E.; Della Ca’, N.; Malacria, M.; Derat, E.; Catellani, M. J. Am. Chem. Soc. 2011, 133, 8574–8585.
7. Motti, E.; Ippomei, G.; Deledda, S.; Catellani, M. Synthesis 2003, 2671–2678.
8. Faccini, F.; Motti, E.; Catellani, M. J. Am. Chem. Soc. 2004, 126, 78-79.
9. Vicente, J.; Arcas, A.; Juliá-Hernández, F.; Bautista, D. Angew. Chem. Int. Ed. 2011,50, 6896–6899.
10. Della Ca’, N.; Maestri, G.; Malacria, M.; Derat, E.; Catellani, M. Angew. Chem. Int. Ed. 2011, 50, 12257–12261.
編譯自:J.J. Li, Name Reactions: A Collection of Detailed Mechanisms and Synthetic Applications, Catellani reaction,page 112-114.







