氨基作為一類具有較高活性的藥物官能團,存在于大多數藥物分子結構之中,例如青霉素,磺胺甲基異惡唑等。

現代藥物化學研究與設計已經把胺類結構定位為最重要的藥效基團之一。胺類的合成主要包括以下幾種途徑:

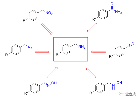
(1)硝基還原
最干凈和簡便的方法是采用Pd/C或Raney Ni加氫還原硝基。當分子內存在對加氫敏感的官能團時,如鹵素,雙鍵,三鍵等,催化加氫不適用。

其它化學還原方法,包括Fe,SnCl2, Na2S2O4等。一般而言,硝基化合物不用LiAlH4還原,因其無法將硝基徹底還原,從而得到混合物。
(2)酰胺還原
一般將酰胺還原到胺最常見的方法就是通 過LiAlH4在加熱回流下進行。但當分子內有對LiAlH4還原敏感的官能團存在時,如芳環上有鹵原子存在時,容易造成脫鹵。一些溫和的還原條件:BH3原,NaBH4-Lewis酸體系還原,DIBAL-H還原等。

(3)腈基還原
一般腈基還是較為容易還原為相應的伯胺, 催化加氫或化學試劑還原都可以用于這類還原。催化加氫的方法最為常用的催化劑為RaneyNi, 在使用RaneyNi 做催化劑加氫成胺時,若用乙醇作溶劑,一般需要加入氨水,主要由于在此條件下,有時有微量的乙醇會氧化為乙醛,其與產品發 生還原胺化得乙基化的產物,加入氨水或液氨可抑制該副反應。其它方法則以LiAlH4和硼烷較為多用。
(4)疊氮還原
催化加氫和化學還原法均可用于疊氮的還原。催化加氫常用的催化劑為Pd/C,Raney Ni, 當分子內有對氫化敏感的鹵素時,可用PtO2作催化劑。化學還原最溫和的條件是使用三苯基膦在濕的四氫呋喃中還原,當然LiAlH4也可用于該還原。

(5)還原胺化
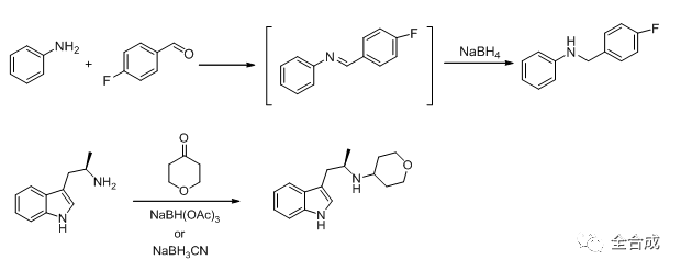
由醛或酮與胺反應形成亞胺,再通過硼氫化鈉或三乙酰氧基硼氫化鈉還原,得到烷基取代的胺類結構。

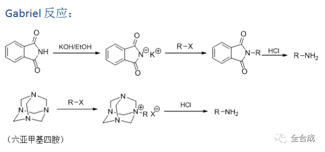
(1)脂肪胺的N-烷基化



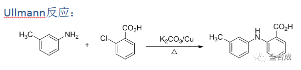
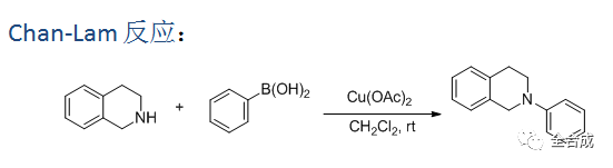
(2)芳香胺的N-烷基化

Buchwald-Hartwig反應:1995年Buchwald和Hartwig 報道了鈀催化芳鹵代物的胺基化反 應。經過近幾年的研究和發展,鈀催化芳胺化反應已取得很大進展,形成了一類成熟的合成方法,被稱之為Buchwald-Hartwig 芳胺化反應。


(1)Curtius重排 (點擊標題了解更多)
Curtius重排是一種常用的將羧酸轉化為少一個碳的胺及相應衍生物的方法。

其反應機理為:首先酰氯被轉化為酰基疊氮,其 加熱重排脫去一分子氮氣后得到相應的異氰酸酯,異氰酸酯水 解或和其他親核試劑反應得到胺及相應的衍生物。早期的合 成方法都是將酸轉變為相應的酰氯,再生成酰基疊氮。
(2)Hofmann降解反應 (點擊標題了解更多)
Hofmann降解是將伯酰胺通過氧化降解成少一個碳原子的伯胺, 其機理如下:

最早期的Hofmann降解是使用NaOH水溶液和Br2來實施的。這個條件比較 劇烈,后續有許多改進的方法陸續被報道,主要是通過改進氧化劑和 堿。如Keillor等人1997年報道了用NBS做氧化劑,DBU做堿,甲醇中回流 25分鐘就得到了甲氧羰基保護的胺(JOC, 1997, 62, 7495-7496)。








