中國科學院化學研究所張德清課題組將螺吡喃基團引入共軛聚合物側鏈,成功構建多外場調控的聚合物場效應晶體管,通過紫外-可見光照、紫外光照-加熱,或引入酸-加熱,實現對晶體管溝道電流及遷移率可逆調控。

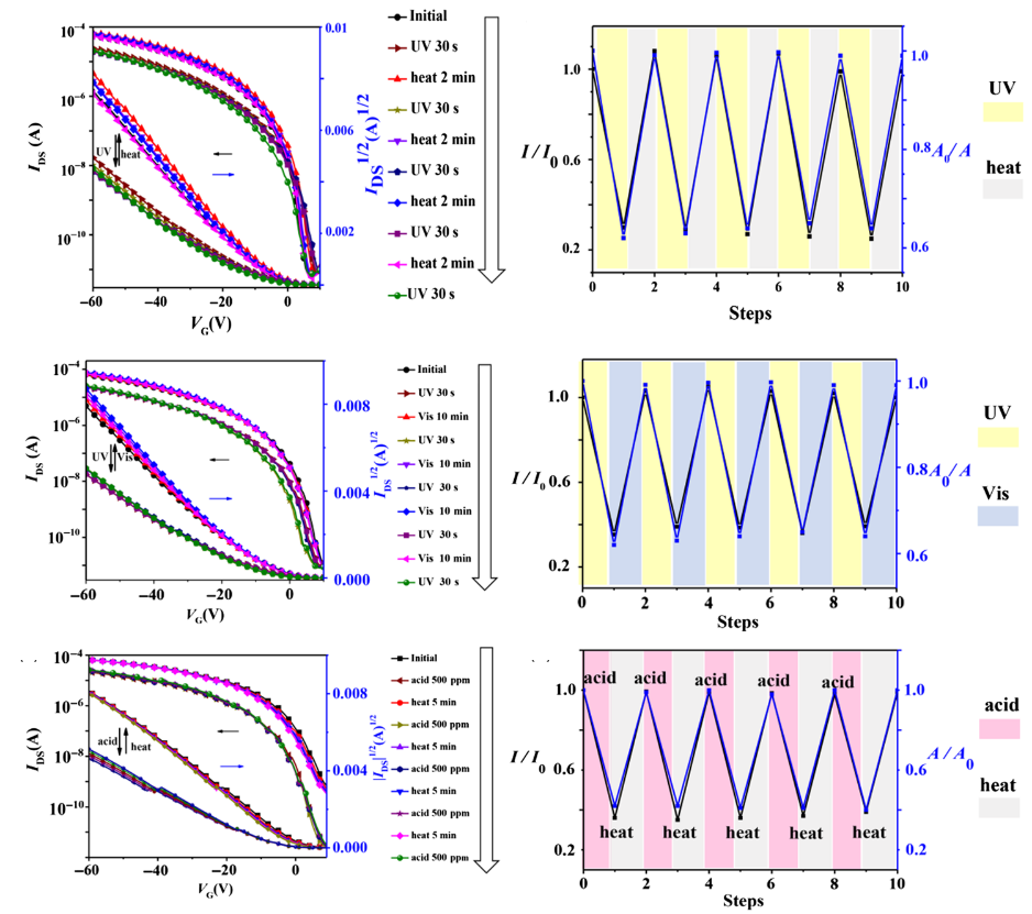
在過去幾十年里,有機/聚合物半導體和場效應晶體管的研究飛速發展。除了合成新的共軛分子/聚合物、提出新的器件制備方法以改善傳輸性能外,發展具有外場調控特性的多功能器件越來越受到人們的關注。由于可以通過電壓或者其它刺激響應來獨立控制電流,從而可以在單個器件中集成多種復雜功能,如存儲、轉換器以及復雜邏輯輸出等,有利于打破摩爾定律的瓶頸,實現有機晶體管的多功能化。目前研究中最多的是利用光作為刺激信號制備光調控場效應晶體管,而對其它外場因素(如熱、磁、化學介質等)的研究很少。 近期,中國科學院化學研究所張德清課題組提出了構建多外場調控有機場效應晶體管的新策略。他們將螺吡喃基團引入共軛聚合物的側鏈,擬利用螺吡喃基團在多種外界刺激(如光、熱、 pH 值、金屬離子以及機械壓力等)下發生的構象轉換,調控晶體管內部的電荷傳輸。基于此,他們設計合成了含螺吡喃基團側鏈的吡咯并吡咯二酮-聯噻吩共軛聚合物(圖1)。 研究結果表明:兩種共軛聚合物在紫外光照和酸處理下引發螺吡喃基團開環,其溝道電流及載流子遷移率降低;而經可見光及加熱處理后,處于開環態的螺吡喃基團發生關環,進而器件溝道電流及載流子遷移率得到可逆恢復,因而實現了基于聚合物的場效應晶體管的多重外場調控特性(圖2)。 圖2 進一步的機理研究表明:螺吡喃基團不同構象之間具有明顯的偶極差異,處于關環態的螺吡喃分子偶極矩~4.3 D,但其開環態的偶極矩增加到~17.7 D。螺吡喃在開環態下的強偶極會導致電荷載流子在導電溝道發生散射,從而降低器件電流;而在其關環后,器件的電流得到恢復。因此,他們利用螺吡喃基團在開關環狀態下的偶極變化,實現了對有機高分子半導體的電荷傳輸調控。 綜上所述,該研究工作提出了構建多外場調控有機場效應晶體管的新策略,為制備多功能晶體管器件打下了基礎。該工作以research article的形式發表在CCS Chemistry,并于近期在CCS Chemistry官網“Just Published”欄目上線。
圖1
文章詳情:
Multi-Stimuli-Responsive Field-Effect Transistor with Conjugated Polymer Entailing Spiropyran in the Side Chains
Jing Ma, Jianwu Tian, Zitong Liu, Dandan Shi, Xisha Zhang, Guanxin Zhang, and Deqing Zhang
DOI: 10.31635/ccschem.019.20190056
Citation:CCS Chem. 2019, 1, 632–641







