


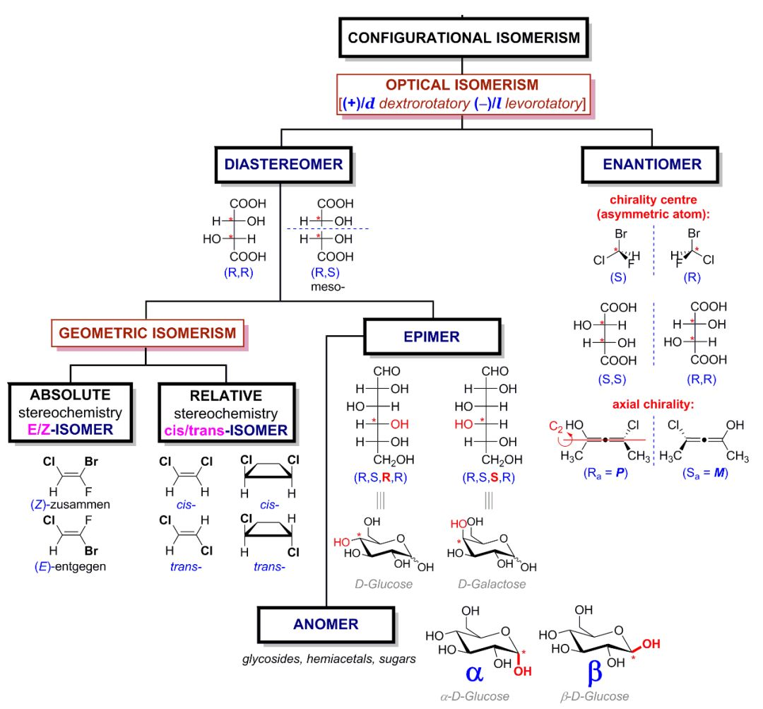
stereoisomerism:立體異構(gòu)
stereoisomer:立體異構(gòu)體
configurational isomerism:構(gòu)型異構(gòu)
configurational isomer:構(gòu)型異構(gòu)體
conformational isomer:構(gòu)象異構(gòu)體
diastereomer:非對映異構(gòu)體
enantiomer:對映異構(gòu)體
epimer:差向異構(gòu)體
anomer:端基差向異構(gòu)體
conformer:構(gòu)象異構(gòu)體
rotamer:旋轉(zhuǎn)異構(gòu)體
atropisomer:旋轉(zhuǎn)對映異構(gòu)體
optical isomerism:旋光異構(gòu)
geometrical isomerism:幾何異構(gòu)
erythro:赤式
threo:蘇式
原圖鏈接:
https://cheminfographic.wordpress.com/2016/12/20/stereoisomerism/







