在藥物化學領域中,三氟甲基是一類重要的化學基團,因其具有高脂溶性、良好的代謝穩定性、高電負性和生物利用度使得它在生物活性分子中有著廣泛的應用。
由于三氟甲基具有強吸電子誘導效應、親脂性以及含有穩定的C-F 鍵,在藥物分子中引入三氟甲基可以有效延長其在生物體內的作用時間, 增強代謝穩定性; 同時三氟甲基的引入通常會增加藥物分子的脂溶性, 從而有助于藥物分子在生物體內的吸收、傳遞和擴散。
例如抗癌藥索拉非尼(Sorafenib tosylate)、抗抑郁藥氟西汀(Fluoxetine)、新型植物廣譜殺菌劑肟菌酯(Trifloxystrobin)等。更多相關藥物信息介紹參見:三氟甲基在藥物中的應用。

目前常用的三氟甲基試劑有Ruppert試劑、Togni試劑、Umemoto試劑和Langlois試劑等。

三氟甲基在反應中存在的中間體形式主要有三種: 三氟甲基自由基和三氟甲基正/負離子。所以隨著反應中三氟甲基試劑的不同, 三氟甲基化反應的機理也有所不同。相關反應的介紹可參見:三氟甲基化反應。
反應案例:
(1)以TMSCF3 為三氟甲基源

2011 年, Sanford 課題組以AgOTf 為介導, 通過一步反應實現了芳烴與TMSCF3 的三氟甲基化(Org. Lett. 2011, 13, 5464). 該反應在無配體的情況下, 可以高效地將芳烴直接三氟甲基化, 得到目標產物。
(2)以CF3SO2Na 為三氟甲基源

2013 年, Maiti 等以K2S2O8 為氧化劑, 報道了未活化烯烴與三氟甲基亞磺酸鈉的氧化三氟甲基化反應 (Angew.Chem., Int. Ed. 2013, 52, 9747). 作者使用AgNO3 作為催化劑, 以廉價的CF3SO2Na 作為三氟甲基源, 在室溫下用敞口燒瓶進行反應, 成功得到目標產物α-三氟甲基酮。
(3)以CF3I 為三氟甲基源

2008 年, Yamakawa 等以FeSO4、H2O2 和H2SO4組成催化體系, 高效實現了尿嘧啶與三氟碘甲烷的三氟甲基化反應( Appl. Catal., A 2008, 342, 137)。
(4)以Togni 試劑為三氟甲基源

2012 年, Buchwald 等以FeCl2 為催化劑, 實現乙烯三氟硼酸鉀與Togni 試劑的三氟甲基化反應(Angew. Chem., Int.Ed. 2012, 51, 2947)。研究表明: 富電子化合物(如2-(雜)芳基乙烯三氟硼酸鉀)是該反應的良好底物. 當R為對氯苯基時, 所得產物的產率為78% (E∶Z>95∶5);
(5)以Umemoto 試劑為三氟甲基源

2009年, Yu等采用C-H 活化的方法, 報道了乙酸鈀(II)催化2-取代苯基吡啶與Umemoto試劑的三氟甲基化反應(J. Am. Chem. Soc. 2010, 132,3648)。研究表明TFA的使用對于該反應的成功至關重要。
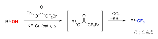
(6)以BBDFA試劑為三氟甲基源

以苯基溴二氟乙酸(BBDFA)為脫氧三氟甲基化試劑,一鍋法脫氧三氟甲基化反應,在銅催化條件下,使芐基/烯丙基醇直接轉化為三氟甲基。(Org. Process Res. Dev. 2019, 23, 1695)
參考文獻:Chin. J. Org. Chem. 2018, 38, 2571







