
【英文名稱】p-Methoxybenzaldehyde
【分子式】 C8H8O2
【分子量】136.15
【CA登錄號】[123-11-5]
【物理性質】bp 248 oC,密度1.119 g/cm3。
【制備和商品】 該試劑在大型跨國試劑公司均
有銷售。
--------------------------------------------------------
對甲氧基苯甲醛可以用來保護二醇、二硫醇、胺、羥基胺和二胺。
保護基
對甲氧基苯甲醛可以很容易地通過二醇與醛反應生成縮醛,使用的催化劑可以是鹽酸或者氯化鋅,也可以用其它的方法如碘催化[1]、聚苯胺為載體的硫酸催化[2] (見式1)、三氯化銦催化[3]、硝酸鉍催化[4]等。對甲氧基苯甲醛與L-半胱氨酸反應得到噻唑衍生物 (式2)[5]。

與氨基反應
對甲氧基苯甲醛可以與氨基反應形成席夫堿,經NaBH4還原后形成二級胺 (式3)[6]。

關環
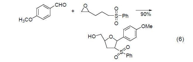
對甲氧基苯甲醛可以與硫葉立德反應,形成環氧乙烷衍生物(式4)[7],也可以與重氮化合物反應得到此類衍生物 (式5)[8]。與環氧乙烷衍生物反應,還可以擴環得到呋喃環衍生物 (式6)[9]。


二?;磻?/strong>
在溴化四丁基銨(TBATB)催化作用下,對甲氧基苯甲醛可以與酸酐反應形成二?;a物 (式7)[10]。

烯丙基化反應
由于對位甲氧基的強給電子作用,使得對甲氧基苯甲醛在三氟磺酸鉍催化下與烯丙基三甲基硅烷反應,得到二烯丙基化的產物 (式8)[11]。

參考文獻
1. Kalita, J. D.; Borah, R.; Sarma, C. J. Tetrahedron Lett., 1998,39, 4573.
2. Palaniappan, S.; Narender, P.; Saravanan, C. Rao, J. V. Synlett,2003, 1793.
3. Ranu, B. C.; Jana, R.; Samanta, S. Adv. Synth. Catal., 2004,346, 446.
4. Srivastava, N.; Dasgupta, S. K.; Banik, B. K. TetrahedronLett., 2003, 44, 1191.
5. Gududuru, V.; Hurh, E.; Dalton, J. T.; Miller, D. D. J. Med.Chem., 2005, 48, 2584.
6. Orito, K.; Horibata, A.; Nakamura, T.; Ushito, H.; Nagasaki,H.; Yuguchi, M.; Yamashita, S.; Tokuda, M. J. Am. Chem.Soc., 2004, 126,14342.
7. Solladié-Cavallo, A.; Lupattelli, P.; Bonini, C. J. Org. Chem.,2005, 70, 1605.
8. Li, Z.-C.; Zhang, J.; Hu, W.-H.; Chen, Z.-Y.; Yu, X.-Q.Synlett, 2005, 1711.
9. Makosza, M.; Barbasiewicz, M.; Krajewski, D. Org. Lett.,2005, 7, 2945.
10. Kavala, V.; Patel, B. K. Eur. J. Org. Chem., 2005, 70, 441.
11. Anzalone, P. W.; Baru, A. R.; Danielson, E. M.; Hayes, P. D.;Nguyen, M. P.; Panico, A. F.; Smith, R. C.; Mohan, R. S. J.Org. Chem., 2005, 70, 2091.
本文轉自:《現代有機合成試劑——性質、制備和反應》,胡躍飛等編著







