反應實例

反應說明:該反應為Ene反應的衍生反應,該反應可以用來合成末端醇
反應機理:

A:亞硒酸的硒氧雙鍵與空間位阻較小的雙鍵發生Ene加成
B:[2,3]遷移反應
C:消去氧負離子,然后質子化得到產物
D:用叔丁基過氧化氫把一氧化硒氧化回二氧化硒,重復利用
本文摘自---有機化學反應機理

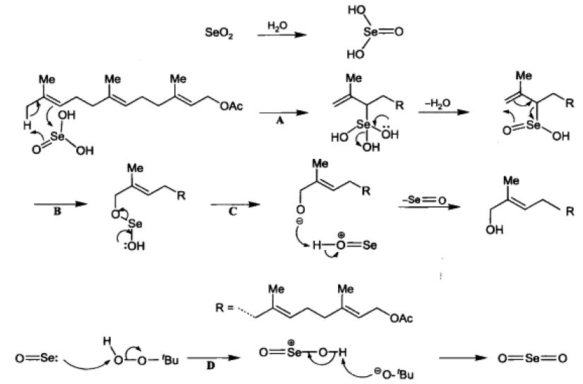
反應實例

反應說明:該反應為Ene反應的衍生反應,該反應可以用來合成末端醇
反應機理:

A:亞硒酸的硒氧雙鍵與空間位阻較小的雙鍵發生Ene加成
B:[2,3]遷移反應
C:消去氧負離子,然后質子化得到產物
D:用叔丁基過氧化氫把一氧化硒氧化回二氧化硒,重復利用
本文摘自---有機化學反應機理