
【名稱】1,2:4,5-Di-O-Isopropylidene-L-Erythro-2,3-Hexodiuro-2,6-Pyranose,1,2:4,5-二-O-異亞丙基-L-赤式-2,3-二酮-2,6-吡喃糖
【分子式】C12H18O6
【分子量】258.37
【CA登錄號】[18422-53-2]
【縮寫和別名】Shi Reagent,史試劑
【物理性質】mp 102~104 oC,[α]20D –120.9o (c1.0, CHCl3)。溶于大多數有機溶劑,可在多種有機溶劑中使用。
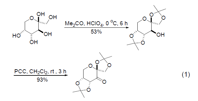
【制備和商品】該試劑為無色晶體,國外化學試劑公司有銷售。實驗室可以方便地通過標準的實驗步驟從D-果糖來合成[1]。
【注意事項】該試劑比較穩定,在陰涼干燥處儲存。
--------------------------------------------------------
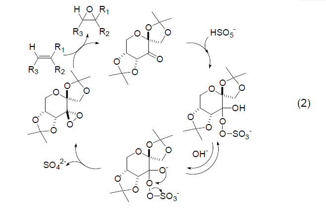
“史試劑”(式1)[2] 在有機合成中被定義為一個廣泛應用的、具有高度立體選擇性的烯烴不對稱環氧化反應試劑。事實上,參與烯烴不對稱環氧化反應的并不是該試劑本身,而是被過氧化合物原位氧化之后生成的二氧丙烷衍生物。使用原位氧化方法時,該試劑可以催化量地使用,多數情況下20%~30% (摩爾分數)即可。最常用的過氧化合物是過氧硫酸氫鉀(Oxone)[1]和過氧化氫(H2O2)[3] (式2)。


“史試劑”與烯烴的不對稱環氧化反應條件非常溫和,一般在0 oC反應數分鐘至數小時即可完成。但是該反應的產率和試劑用量受到反應體系pH 值的嚴重影響,使用緩沖溶液和加入碳酸鹽將pH值控制在10.5~11.5,可以得到非常滿意的結果 (式3)[4]。

“史試劑”與不同取代類型烯烴的不對稱環氧化反應均表現出高度的立體選擇性,一般對烯烴以外的官能團不產生明顯的影響。與炔鍵共軛的烯烴反應生成高度對映體選擇性手性環氧炔烴是該試劑的特色反應之一 (式
5)[5,6]。

該試劑與烯基硅烷的反應比其它不對稱環氧化試劑具有更好的對映體選擇性 (式6)[7,8]。

如果底物分子中含有二個不同的烯鍵時,使用限量的試劑還可以發生高度的區域選擇性環氧化反應 (式4)[9,10]。

參考文獻
1. Wang, Z.-X.; Tu, Y.; Frohn, M.; Zhang, J.-R.; Shi, Y. J. Am. Chem. Soc. 1997, 119, 11224.
2. Shi, Y. Acc. Chem. Res., 2004, 37, 488.
3. Shu, L.; Shi, Y. J. Org. Chem., 2000, 65, 8807.
4. Wang, Z.-X.; Tu, Y.; Frohn, M.; Shi, Y. J. Org. Chem., 1997,62, 2328.
5. Wang, Z.-X.; Cao, G.-A.; Shi, Y. J. Org. Chem., 1999, 64,7646.
6. Smith, A. B., III; Fox, R. J. Org. Lett., 2004, 6, 1477.
7. Heffron, T. P.; Jamison, T. F. Org. Lett., 2003, 5, 2339.
8. Warren, J. D.; Shi, Y. J. Org. Chem., 1999, 64, 7675.
9. Ohira, S.; Kuboki, A.; Hasegawa, T.; Kikuchi, T.; Kutsukake, T.; Nomura, M. Tetrahedron Lett., 2002, 43, 4641.
10. Hoard, D. W.; Moher, E. D.; Martinelli, M. J.; Norman, B. H. Org. Lett., 2002, 4, 1813.
本文轉自:《現代有機合成試劑——性質、制備和反應》,胡躍飛等編著







