【英文名稱】Tetra-n-Butylammonium Fluoride
【分子式】 C16H36FN
【分子量】261.46
【CA登錄號】[429-41-4]
【縮寫和別名】TBAF,四正丁基氟化銨
【物理性質】該試劑通常以水合物形式存在,如TBAF·3H2O,TBAF·xH2O。其中,TBAF·xH2O,mp 62~63 oC。1.0 mol/L THF標準溶液d 0.903 g/mL (25 oC)。質量分數為75%水溶液d 0.953g/mL (25 oC)。它溶于水、乙腈、THF。
【制備和商品】該試劑是通過氫氟酸水溶液與溴化四丁基銨的水溶液在離子交換樹脂中反應制備而成。反應完畢后,將樹脂用水反復洗滌,將洗脫液中水分蒸干即得油狀產物。該商品試劑為三水合物或不同溶劑和不同濃度的標準溶液,例如1.0 mol/L的THF溶液、質量分數為75% 的水溶液等。
【注意事項】該試劑必須在通風櫥中進行操作。
氟化四丁基銨(TBAF)[1]在反應中可解離為(n-Bu)4N+與F–離子。它是一類常用的氟代試劑,可取代硝基、鹵素等基團,但其取代性能比氰基弱。它還是一類常用的去硅烷基試劑。
一、氟取代反應
TBAF 可用于絕大部分的氟取代反應。例如:由2-硝基-4-溴-吡啶制備2-氟-4-溴-吡啶 (式1)[2]。溫和的反應條件和較高的反應產率是采用TBAF為氟代試劑的主要原因。

二、去硅烷基反應
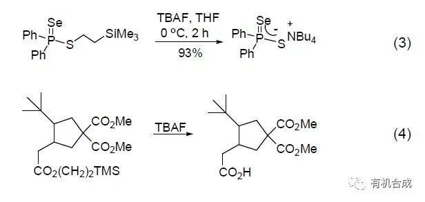
TBAF 廣泛用于去硅烷基的反應,這類反應通常可以在比較溫和的條件下進行,且產率很高,是切斷Si-O (式2)[3]、Si-C 等共價鍵的常用方法,也適用于雜原子(式3)[4]、羧基 (式4)[5] 的去硅烷基化反應。


TBAF廣泛用于切斷Si-C鍵,特別是與雙鍵或三鍵相鄰的sp2-C-Si與sp3-C-Si鍵 (式5)[6]。若將TBAF與過渡金屬催化劑合用時,還可以使脫硅烷基反應與偶聯反應同時進行 (式6)[7]。

三、催化親核取代反應
TBAF 可以催化二硝基苯上的親核取代反應,例如:對二硝基苯與三氟乙醇的反應 (式7)[8]。其催化機理是先用氟取代一個硝基,然后三氟乙醇的羥基親核進攻與氟相連的碳原子而得到目標產物。

參考文獻
1. Amantini, D.; Beleggia, R.; Fringuelli, F.; Pizzo, F.; Vaccaro, L. J. Org. Chem., 2004, 69, 2896.
2. Kuduk, S. D.; DiPardo, R. M.; Bock, M. G. Org. Lett., 2005, 7, 577.
3. Wen, K.; Chow, S.; Sanghvi, Y. S.; Theodorakis, E. A. J. Org. Chem., 2002, 67, 7887.
4. Kimura, T.; Murai, T. J. Org. Chem., 2005, 70, 952.
5. Jonathan, C. T.; Carl, H. S.; Dennis, P. C. J. Am. Chem. Soc., 2005, 127, 5518.
6. Heitzman, C. L.; Lambert, W. T.; Mertz, E.; Shotwell, J. B.; Tinsley, J. M.; Va, P.; Roush, W. R. Org. Lett., 2005, 7, 2405.
7. Denmark, S. E.; Tymonko, S. A. J. Am. Chem. Soc., 2005, 127, 8004.
8. Tejero, I.; Huertas, I.; Gonzalez-Lafont, A.; Lluch, J. M.; Marquet, J. J. Org. Chem., 2005, 70, 1718.
本文轉自:《現代有機合成試劑——性質、制備和反應》,胡躍飛等編著
相關文章(點擊題目查看詳細內容)
一、羥基硅醚保護及脫除

SEM保護胺基
TBS保護羧基
氟離子對Si-O鍵和Si-C鍵的斷裂

三、Hiyama交叉偶聯反應

鈀催化下有機硅試劑和有機鹵代物或三氟甲磺酸酯進行交叉偶聯的反應。反應中常常加入一種氟化物(TASF、TBAF)或堿(如氫氧化鈉、碳酸鈉)的活化試劑,在金屬轉移的時候形成活化的高配位的硅酸鹽中間體,否則反應會很難進行。催化循環和Kumada偶聯類似。







