反應實例1

反應說明:該反應為Wagner-Meerwein重排,是醇在酸性條件下形成碳正離子,由于伯仲叔碳的碳正離子穩定性不同,所以會發生重排的反應
反應機理

A:醇羥基質子化形成易離去基團
B:在碳碳鍵遷移的推動下消去一分子水形成較穩定的碳正離子
C:脫去質子形成烯
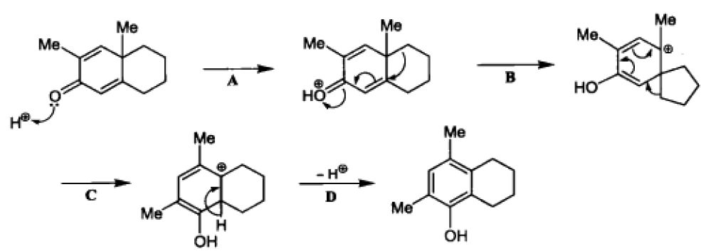
反應實例2

反應說明:該反應為Dienone-phenol重排反應,該反應是二烯酮在酸性條件下重排形成酚的反應
反應機理

A:酮質子化
B:1,2-烷基遷移形成較穩定的碳正離子
C:再次發生1,2-烷基遷移形成較穩定的碳正離子
D:脫去一個質子芳構化
反應實例3

反應說明:該反應是Wagner-Meerwein重排的衍生反應
反應機理

A:產生三氧化硫
B:發生Wagner-Meerwein重排
C:烯磺化形成穩定的叔碳正離子
本文摘自---有機化學反應機理







