封閉型無溶劑聚氨酯的研究進展
作者:劉 帥,馬興元
(陜西科技大學輕工科學與工程學院,西安710021)
來源:材料導報 2019年第23期
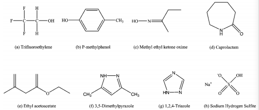
封閉型無溶劑聚氨酯;解封閉溫度;封閉劑;影響因素 封閉型溶劑 PU是指以有機溶劑作為介質的PU體系。德國化學家拜耳于1937年首次通過異氰酸酯與含活潑氫化合物的反應制備了PU(-NCO+H-R →-NHCOR-),從而開始了PU樹脂的研究和應用。日本于1955年從德國Bayer公司與美國的DuPont公司引進技術,開始PU樹脂的生產。我國PU工業起始于20世紀50年代,經過不斷研究和從日本、意大利等國引進新型PU技術和裝置,PU 工業得到了迅 速發展。 由于游離的異氰酸酯基團容易與空氣中的水反應,從而影響PU原料的儲存和使用,1945年Petersen發表的第一篇關于封閉異氰酸酯的研究論文使得封閉型異氰酸酯開始進入科研及企業研發人員的視野。隨著封閉型異氰酸酯的不斷發展,異氰酸酯的儲存穩定性提高,PU 的應用范圍也不斷拓展。但是,由于其是以有機溶劑作為介質,在制備、使用 過程中容易釋放出對環境和人體有害的物質,不符合21世 紀國家和人民對環境保護的要求,使得封閉型溶劑 PU 的應用受限。 WPU是以水全取代或部分取代有機溶劑作為介質的PU體系。WPU不僅具有封閉型溶劑PU所具有的耐磨損、 高強度等優異性能,也具有安全、環保(低 VOC 含量)、節能等優點,可被廣泛應用于涂料、紡織、膠粘劑、造紙、醫藥等領域。封閉型WPU是指通過保護端基的方法,即在一定的條件下利用含活潑氫的封閉劑對PU預聚體中的異氰酸酯基團進行封閉保護,使異氰酸酯基團失去反應活性,成為封閉型多異氰酸酯或PU預聚體,然后在水中分散制得的封閉型WPU乳液。 1934年,SchJack在乳化劑和保護膠的作用下,將二異氰酸酯在劇烈攪拌下于水中乳化并添加二胺,首次成功制備了WPU。1953年,Dupont公司研究人員將端異氰酸酯基PU預聚體的甲苯溶液分散于水中,用二元胺擴鏈合成了PU乳液,但其價格昂貴且貯存穩定性差。1967年美國首次進行了WPU的工業化生產,但由于其產品穩定性較差并沒有得到廣泛應用。20世紀70年代后期到80年代前期,歐美 以及日本等國的WPU生產加工流程已經基本成熟,此時已有多種品牌的產品陸續問世。隨著人們研究的深入,封閉型WPU也逐漸得到重視。1989年,Kordomenos等通過熱失重分析研究了MEKO封閉的異氟爾酮二異氰酸酯(IPDI)、 甲苯二異氰酸酯(TDI)的解封閉溫度。據統計,到2000年發表的關于這方面的論文和專利已達1700篇。 理論上講,凡是含有活潑氫的化合物都可用于異氰酸酯的封閉反應,通過優化具體的反應條件,最終都能用于制備封閉型異氰酸酯。但在實際應用過程中,需要從以下五個方面來選擇合適的封閉劑:①封閉反應速率適中且能徹底反應;②解封閉反應速率較快;③解封閉溫度較低;④封閉劑及封閉型異氰酸酯與基體樹脂體系有良好的相容性;⑤封閉劑 環保、無毒,封閉型異氰酸酯的貯存穩定性好。目前研究較多的是以下幾種封閉劑。 醇類封閉劑是最早使用的異氰酸酯封閉劑,具有較好的穩定性和較高的解封閉溫度,三鹵化物除外,如三氟乙醇(化學結構式見圖3a)和三氯乙醇封閉的苯基異氰酸酯相比于正丁醇封閉的苯基異氰酸酯具有較低的解封閉溫度和較高的解封閉速率。在醇類封閉劑中,伯醇、仲醇和叔醇與異氰酸酯的正反應(封閉反應)速率依次降低,逆反應(解封閉反應)速率依次增加。如Rand的研究表明,伯醇、仲醇、叔醇與異氰酸酯的封閉反應速率為100∶33∶1,解封閉溫度則為伯醇>仲醇>叔醇。理論上講叔醇的解封閉溫度最低,但由于其解封時可能會得到二氧化碳、烯類和胺類化合物等副產物,因此叔醇封閉的異氰酸酯常被用于環氧樹脂的固化劑中。 常用的酚類封閉劑有對甲苯酚(化學結構式見圖3b)、2,6-二甲基苯酚等。酚類封閉劑相比于醇類封閉劑具有更低的解封閉溫度,主要是由于其結構中含有吸電子基團(苯環),能夠有效降低酚羥基的親核性,從而加快解封閉速率,降低解封溫度,如Lou等通過在苯酚的結構中引入吸電子基團(氯基)來降低其解封閉溫度。苯環上取代基的空間效應也會對解封閉反應造成影響,其中誘導效應和空間效應對解封閉速率的影響強弱視情況而定。如鄰甲苯酚封閉型異氰酸酯的解封閉溫度要低于對甲苯酚封閉型異氰酸酯,而2,6-二甲基苯酚封閉型異氰酸酯的解封閉溫度較高,這說明苯環上兩個甲基的給電子效應對解封閉溫度的影響大于其空間效應。吡啶酚類封閉劑封閉WPU的最佳理論解封閉溫度為95.2℃,在喹啉酚類封閉劑中7-苯甲酰基-8-羥基封閉型IPDI的最高解封閉溫度低于100℃。 在胺類化合物中,伯胺一般不用作封閉劑,原因有兩點: ①伯胺與異氰酸酯的反應速率太快,難以控制,生成的封閉型異氰酸酯的熱穩定性好,很難解封閉;②在伯胺封閉異氰酸酯的過程中,羰基兩側的脲鍵都可以發生開裂,從而形成 單官能團、小分子量的異氰酸酯。而叔胺和芳香胺則可被用作異氰酸酯的封閉劑。例如Sankar等用不同取代基的芳香胺對異氰酸酯進行封閉,解封閉溫度為130℃左右。 酰胺類封閉劑相比于醇類、酚類和肟類封閉劑具有較高的解封閉溫度,但是如果在解封閉反應中能形成六元環的中間體,其解封閉溫度會大幅降低。如MEKO封閉型異氰酸酯的解封閉溫度為130℃,而能形成六元環中間體的乙酰苯胺型封閉劑的解封閉溫度為100℃。己內酰胺(化學結構式見圖3d)是一種研究和應用都比較廣泛的封閉劑,由于己內酰胺存在七元雜環,羰基極性較大,易與氨基中的氫形成氫鍵,形成類似六元環的結構,具有更大的位阻效應,從而具有較高的解封閉溫度,故其主要被應用于某些特殊產品。筆者用己內酰胺對IPDI體系進行封閉,測得其解封閉溫度為163℃。 含有 β-二羰基的化合物(如丙二酸酯、乙酰乙酸乙酯以及 2,4-戊二酮等)被稱為活潑性亞甲基化合物,可用作異氰酸酯的封閉劑。常用的活潑亞甲基類封閉劑有丙二酸酯、 乙酰乙酸乙酯(化學結構式見圖3e)以及2,4-戊二酮等。活潑亞甲基與異氰酸酯的反應相對較弱,通常情況下需要使用催化劑,活潑亞甲基封閉型異氰酸酯的解封閉反應與溶劑、 封閉劑種類等有關。活潑亞甲基封閉型異氰酸酯的解封閉溫度往往都比較低,但是用其封閉的異氰酸酯在解封閉時通常不會得到游離的異氰酸酯基團,它與羥基的反應類似于酯交換反應,得到的不是PU而是一般的酯,例如丙二酸乙酯封閉的異氰酸酯與羥基反應時會發生類似的酯交換反應,其與多元醇的交聯溫度為110℃。 吡唑和三唑類化合物的解封閉溫度比較低,這是因為其結構中含有氮元素,在解封閉反應中能與異氰酸酯基團形成五元環中間體。其中3,5-二甲基吡唑(化學結構式見圖3f) 和1,2,4-三唑(圖3g)被用于封閉異氰酸酯時,因含有含氮五元環,不但解封閉溫度低,而且與肟類相比不易黃變、毒性小。苯并三氮唑用作MDI的封閉劑相比己內酰胺具有更高的解封閉溫度,但可以與氨基樹脂交聯劑并用。 亞硫酸氫鹽封閉的異氰酸酯由于具有良好的水分散性 、較低的封閉溫度和受熱快速解封閉的優點,常被用于制備封閉型WPU。例如Zhou等用亞硫酸氫鈉(NaHSO3)封閉TDI合成了一種用于絲織品的水溶性封閉異氰酸酯膠黏劑,具有無游離甲醛釋放,強度、手感都比較好的優點。但是當NaHSO3的用量較大時,其解封閉后會殘留在產品中且有副作用,故限制了產品的推廣和使用,其化學結構式見圖3h。 除上述封閉劑外,環二脲、甲基丙烯酸甲酯、嘧啶、2-甲基咪唑等也常被用作異氰酸酯的封閉劑。 4.2 封閉劑結構 在封閉型SFPU中,反應介質是極其重要卻又很難控制的因素。由于整個反應不添加任何溶劑,反應介質為預聚體本身,在反應過程中,分子量不斷變大,漿料的黏度急速增加,黏度過大又會降低反應速率。因此,如何控制漿料黏度是封閉型SFPU的一大難點。 目前對催化劑在封閉反應中的應用研究比較多,對其在解封閉反應中的應用研究較少。目前在PU行業研究和應用最多的是叔胺類和有機金屬類催化劑。 有機金屬類催化劑對封閉型PU的解封閉具有一定的催 化作用。表2列出了九種有機金屬類催化劑對丁酮肟封閉的HDI解封閉反應的催化效果。固化效果以丁酮擦拭數值來表示,數值越大,固化效果越好。 叔胺類催化劑主要分為脂肪胺類、脂環胺類、芳香胺類 和醇胺類及其銨鹽等化合物。在這些催化劑中,三乙烯二胺(DABCO) 因含有兩個叔胺結構,比二月桂酸二丁基錫 (DBTDL)具有更好的催化效果,是封閉型SFPU的理想催化 劑。Gong等從PU的反應速率常數、熱力學參數和三維紅外光譜等方面進一步證實了這一結論(圖 6、圖 7)。

1.2 封閉型水性聚氨酯 















