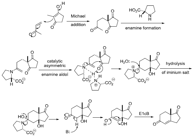
(S)-(-)-脯氨酸催化的不對稱Robinson增環反應

反應機理

反應實例




參考文獻
1. (a) Hajos, Z. G.; Parrish,D. R. J. Org. Chem. 1974, 39, 1615-1621. Hajosand Parrish
were chemists at Hoffmann-LaRoche. (b) Eder, U.; Sauer, G.; Wiechert, R. Angew.
Chem. Int. Ed. 1971, 10, 496-497.
2. Brown, K. L.; Dann, L.;Duntz, J. D.; Eschenmoser, A.; Hobi, R.; Kratky, C. Helv.
Chim. Acta 1978, 61, 3108-3135.
3. Hagiwara, H.; Uda, H. J.Org.Chem. 1998, 53, 2308-2311.
4. Nelson, S. G. Tetrahedron:Asymmetry 1998, 9, 357-389.
5. List, B.; Lerner, R. A.;Barbas, C. F., III. J. Am. Chem. Soc. 2000, 122, 2395-2396.
6. List, B.; Pojarliev, P.;Castello, C. Org. Lett. 2001, 3, 573-576.
7. Hoang, L.; Bahmanyar, S.;Houk, K. N.; List, B. J. Am. Chem. Soc. 2003, 125, 16-17.
8. Shigehisa, H.; Mizutani, T.;Tosaki, S.-y.; Ohshima, T.; Shibasaki, M. Tetrahedron
2005, 61, 5057-5065.
9. Nagamine, T.; Inomata, K.;Endo, Y.; Paquette, L. A. J. Org. Chem. 2007, 72, 123–
131.
10. Kennedy, J. W. J.;Vietrich, S.; Weinmann, H.; Brittain, D. E. A. J. Org. Chem. 2009,
73, 5151-5154.
11. Christen, D. P. Hajos–WiechertReaction. In Name Reactions for Homologations-Part
II; Li, J. J., Ed.; Wiley: Hoboken, NJ, 2009, pp 554-582.(Review).
12. Zhu, H.; Clemente, F. R.;Houk, K. N.; Meyer, M. P. J. Am. Chem. Soc. 2009, 131,
1632-1633.
13. Bradshaw, B.; Bonjoch, J. Synlett2012, 23, 337-356. (Review).
摘自:有機人名反應——機理及應用 第四版







