1884年,C.Paal和L.Knorr幾乎同時報道了1 ,4-二酮通過強無機酸的脫水生成取代呋喃。該反應被廣泛應用,稱為Paal-Knorr呋喃合成。


反應特點
幾乎所有的1,4-二羰基化合物及其衍生物都可以參與反應;除了利用鹽酸和硫酸進行脫水,Lewis酸和脫水劑(P2O5等)也可用于脫水;該反應產率適中,但是有兩個主要缺點:很難得到1,4二羰基化合物,很多官能團對酸性條件太敏感。
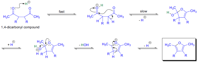
反應機理

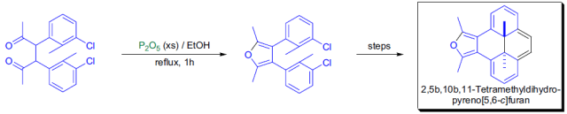
反應實例




參考文獻
1. Knorr, L. Ber. 1884, 17, 2863-2870.
2. Paal, C. Ber. 1884, 17, 2756-2767.
3. Paal, C. Ber. 1885, 367-371.
4. Hart, H., Takehira, Y. J. Org. Chem. 1982, 47, 4370-4372.
5. Christopfel, W. C., Miller, L. L. J. Org. Chem. 1986, 51, 4169-4175.
6. Lai, Y. H., Chen, P. Tetrahedron Lett. 1988, 29, 3483-3486.
7. Cooper, C. S., Klock, P. L., Chu, D. T. W., Fernandes, P. B. J. Med.
Chem. 1990, 33, 1246-1252.
摘自:有機人名反應——機理及應用 第四版,Strategic Applications of Named Reactions in Organic Synthesis







