分享一篇發表在Nat. Metab.上的文章,題目為“In vivo itaconate tracing reveals degradation pathway and turnover kinetics”,通訊作者是來自德國布倫瑞克工業大學Thekla Cordes教授,還有來自美國索爾克生物研究所的Christian M. Metallo教授,他們都主要研究細胞代謝。這篇文章中作者揭示了衣康酸在體內的降解和周轉動力學。

衣康酸是一種免疫調節代謝物。目前,基于衣康酸的消炎策略正在研究中。但是,目前人們對衣康酸的循環周轉率并不了解。這篇文章中作者用13C衣康酸在小鼠體內進行追蹤,證明在血漿中衣康酸迅速地通過尿液排出,以及促進肝臟、腎臟的TCA循環。此外,衣康酸轉化為乙酰輔酶A、中康酸和檸蘋酸,并影響支鏈氨基酸代謝和琥珀酸水平。總之,這篇文章說明衣康酸在活體內發生快速分解代謝。
作者構建了衣康酸灌注模型,發現灌注衣康酸后可以顯著升高TCA循環中間體的血漿濃度,灌注的衣康酸可以在一小時內被清除。

伴隨著衣康酸灌注,琥珀酸、中康酸水平與衣康酸水平密切相關,而甲基蘋果酸、支鏈氨基酸則表現出積累,表明衣康酸誘導MUT和SDH抑制。
由于衣康酸可以被快速清除,因此作者猜想它可能被組織吸收并進一步代謝。作者用13C衣康酸追蹤的方式研究了衣康酸命運。作者發現灌注后主要在尿液中發現衣康酸,說明它主要通過腎臟循環。此外還在TCA循環中間體中發現了標記,說明衣康酸被用于線粒體代謝。總之,結果說明血液中的衣康酸通過腎臟代謝,此外還通過肝臟腎臟中的線粒體代謝。

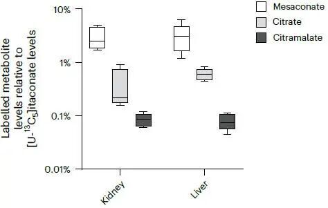
此外,作者對衣康酸、中康酸、檸康酸、檸蘋酸的轉化進行了定量,結果表明約5%轉化為中康酸,1%轉化為檸康酸、檸蘋酸。

總之,本文利用13C衣康酸示蹤的方式研究了衣康酸的動態周轉過程,證明大部分血液中的衣康酸通過腎臟代謝,此外還被組織吸收,在肝臟腎臟的線粒體中代謝。
本文作者:WYJ
責任編輯:LYC
DOI:10.1038/s42255-025-01363-1
原文鏈接:https://doi.org/10.1038/s42255-025-01363-1







