對甲氧基芐基保護基p-Methoxybenzyl (PMB) ...
概要p-甲氧基芐基(PMB or MPM)和芐基一樣能對羥基進行保護?脫保護。可以利用DDQ(二氯二氰對苯醌)在溫和氧化條件下,或在強酸性條件下使其脫去。二甲氧基芐基有兩種,甲氧基分別在2,4位(DM ...

概要p-甲氧基芐基(PMB or MPM)和芐基一樣能對羥基進行保護?脫保護。可以利用DDQ(二氯二氰對苯醌)在溫和氧化條件下,或在強酸性條件下使其脫去。二甲氧基芐基有兩種,甲氧基分別在2,4位(DM ...
概要p-甲氧基芐基(PMB or MPM)和芐基一樣能對羥基進行保護?脫保護。可以利用DDQ(二氯二氰對苯醌)在溫和氧化條件下,或在強酸性條件下使其脫去。二甲氧基芐基有兩種,甲氧基分別在2,4位(DM ...
一般羥基的芐醚保護主要有芐基,對甲氧芐基及三苯甲基醚。一、芐基醚保護羥基 (Bn-OR)一般烷基上的羥基在用芐基醚保護時需要用強堿,但酚羥基的芐基醚保護一般只要用碳酸鉀在乙腈或丙酮中回流即可 ...
一般羥基的芐醚保護主要有芐基,對甲氧芐基及三苯甲基醚。一、芐基醚保護羥基 (Bn-OR)一般烷基上的羥基在用芐基醚保護時需要用強堿,但酚羥基的芐基醚保護一般只要用碳酸鉀在乙腈或丙酮中回流即可 ...
一、Me3SiI, DCM, 室溫,15min,100%產率。【61】此試劑可以用于其他醚和酯的脫保護。二、Me2BBr,1,2-二氯乙烷,0℃到室溫,70-93%產率。【62】此試劑也可以裂解酚甲基 ...
一、Me3SiI, DCM, 室溫,15min,100%產率。【61】此試劑可以用于其他醚和酯的脫保護。二、Me2BBr,1,2-二氯乙烷,0℃到室溫,70-93%產率。【62】此試劑也可以裂解酚甲基 ...
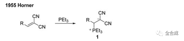
有機磷催化劑通過與親電的起始原料進行加成,在溫和的條件下,形成反應性較好的兩性離子中間體,進而促進后續反應的完成。有機膦催化劑的發展歷史簡要介紹如下:1955年,Horner提供了含膦兩 ...
【英文名稱】Phenyl Dichlorophosphite【分子式】 C6H5Cl2OP【分子量】194.98【CA登錄號】[3426-89-9]【結構式】PhOPCl2【物理性質】常溫常壓下為液體 ...
C-N鍵的形成途徑主要包括:酰胺的縮合、N-烷基化、還原胺化和過渡金屬催化的SNAr(親核芳香取代)反應等。其中SNAr反應是由芳基鹵化物制備芳香胺的重要合成方法,由于芳香胺 ...
偶聯反應在藥物合成,天然產物合成等領域發揮著重要的角色,而個人認為在所有偶聯反應中Suzuki偶聯應該是應用最廣泛的偶聯之一了,同時也是反應條件最溫和,最好控制的偶聯反應之一。很多時候,我 ...