【英文名稱】Phenyl Dichlorophosphite
【分子式】 C6H5Cl2OP
【分子量】194.98
【CA登錄號】[3426-89-9]
【結構式】PhOPCl2
【物理性質】常溫常壓下為液體,bp 90 oC/11mmHg,它溶于大多數非質子有機溶劑。
【制備和商品】無商品供應。三氯化磷與苯酚反應可以制備二氯亞磷酸苯酯,但目標產物產率很低。當在反應體系中加入MgCl2并仔細監控反應,可得到高產率產物[1] (式1)

【注意事項】具有刺激性氣味,對潮濕敏感。不能和強堿、強氧化劑一起放置。在減壓條件下可以重蒸純化。
--------------------------------------------------------
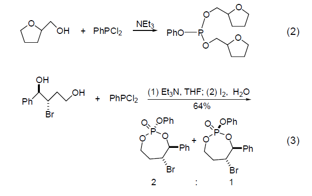
合成有機磷化合物
2)[2],在氧化試劑氧化下,亞磷酸三酯可以得到磷酸三酯 (式3)[3,4]。

用作銅催化劑的配體 (式5)[6]。

合成有機膦化合物
物 (式4)[5]。

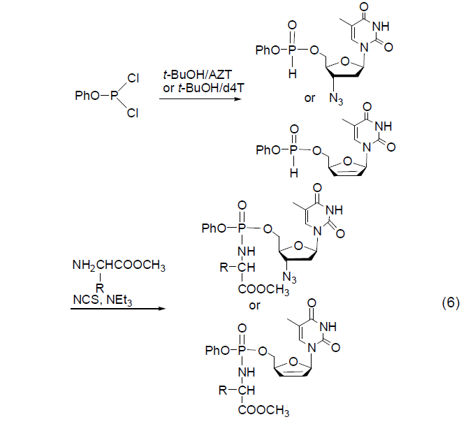
合成磷酰胺

參考文獻
1. Tolkmith, H. J. Org. Chem., 1958, 23, 1682.
2. El Khatib, F.; Tachon, C.; Caminade, A. M.; Koenig, M.Tetrahedron Lett., 1985, 26, 3007.
3. David, C.; Fernando, S. P.; Leticia, Q. C.; Donald, J. W. J.Org. Chem., 2002, 67, 3360.
4. Martin, S. F.; Josey, J. A.; Wong, Y.-L.; Dean, D. W. J. Org.Chem., 1994, 59, 4805.
5. Xu, J.; Fu, N. J. Chem. Soc., Perkin Trans. 1, 2001, 1223.
6. Alexakis, A.; Burton, J.; Vastra, J.; Benhaim, C.; Fournioux,X.; van den Heuvel, A.; Leveque, J.-M.; Maze, F.; Rosset, S.;Eur. J. Org. Chem., 2000, 65, 4011.
7. Jiang, P.; Guo, X.; Fu, H.; Jiang, Y. Y.; Zhao, Y. F. Synlett,2005, 2537.
內容轉自:《現代有機合成試劑——性質、制備和反應》,胡躍飛等編著







