反應實例

反應說明:該反應為Birch反應,是苯環被金屬鈉還原生成二烯的反應
反應機理

A:從鈉原子上轉移一個電子到芳香環上形成一個自由基負離子
B:質子化
C:烷基取代會使碳負離子更不穩定,所以形成較穩定的烯丙基負離子
本文摘自---有機化學反應機理

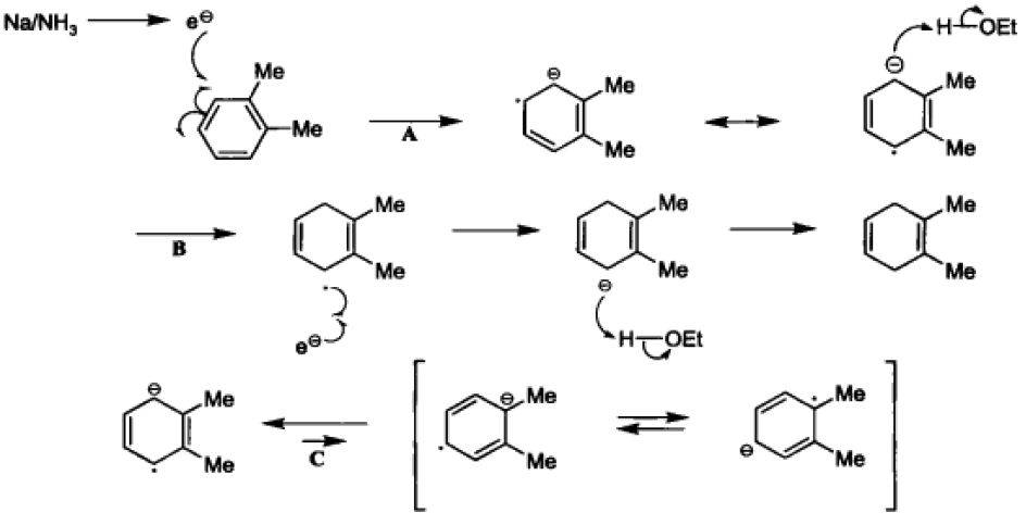
反應實例

反應說明:該反應為Birch反應,是苯環被金屬鈉還原生成二烯的反應
反應機理

A:從鈉原子上轉移一個電子到芳香環上形成一個自由基負離子
B:質子化
C:烷基取代會使碳負離子更不穩定,所以形成較穩定的烯丙基負離子
本文摘自---有機化學反應機理