1、 酰基疊氮
酰基疊氮也是一個較為溫和的酰化試劑,由于在反應時其不會引起光學活性物質的 消旋且對水及其他親核試劑較為穩定,因而常用于肽及化合物庫的合成.但酰基疊氮由于 反應活性低,對于位阻大且親核性低的胺是不適用的。
1.1 酰基疊氮合成酰胺示例

To a solution of Boc-Tyr-N3(0.65 mmol) in DMF (6 mL) were added 7.3N HCl/dioxane (1.30 mmol) and isopentyl nitite (0.78 mmol) under cooling to –15 ℃; The solution was stirred for 10 min at the same temperature, NMM (1.37 mmol) was added to adjust the pH to 8. This solution was added to a cooled solution of 55 (0.26 mmol) and NMM (0.52 mmol) in DMF (6 mL). The reaction mixture was stirred for another 24 h under the same conditions and the pH maintained at 8. After removal of DMF, the residue was dissolved in EA and washed with water, 5% NaHCO3, 10% citric acid, and saturated brine. The organic layer was dried over Na2SO4 and evaporated. The product was crystallized from ether, and the crystals were collected by filtration (Yield 53.6%).
2、3-酰基-2-硫噻唑啉
3-酰基-2-硫噻唑啉也是一個較為溫和的酰化試劑(Tetrahedron lett. 1980,21,841;J Org. Chem. 1994, 3506), 其對各類胺的反應選擇性較好,同時反應可以用乙醇作溶劑。該反應的一個特點是一般 3-酰基-2-硫噻唑啉是黃色的,但反應完 2-硫噻唑啉為無色, 因此可以通過黃色是否消失來跟蹤反應。
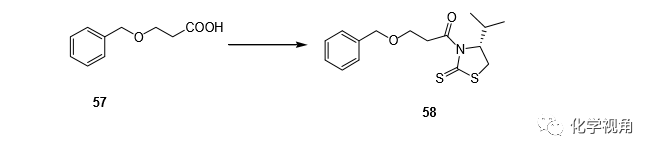
3-酰基-2-硫噻唑啉的合成示例
A solution of 2-(benzyloxy)propionic acid (2.16 g, 12 mmol) in CH2Cl2(50 mL) were added thiozolidine-2-thione (1.93 g, 12 mmol), followed by EDC. HCl(2.42 g, 12.6 mmol) and DMAP (50 mg, 0.41 mmol). After being stirred at RT overnight, the reaction mixture was washed with water and brine, dried, evaporated in vacuo to give an oil residue. The residue was purified by silica gel column chromatography (elution 5:1hexane-AcOEt) to give the desired amide 58 (3.32 g, 86%) as yellow oil.
3-酰基-2-硫噻唑啉的合成酰胺示例

p-Anisidine (920 mg, 7.47 mmol) was added to a solution of 59 (3.0 g, 6.24 mmol) in CH2Cl2(20 mL) and the solution was stirred at RT overnight. Evaporation of the solvent in vacuo followed by purification of the residue on a silical gel column with 5:1 of hexane-AcOEt gave amide 60 (2.76 g, quantitatively yield) as colorless needles







