一、對于活性炭上官能團的傳統觀點
由于鋰離子電池(LIBs)和電化學雙層電容器(EDLCs)都不能同時滿足工業對高能量、高功率和長循環壽命的要求,因此將LIBs和EDLCs結合起來的鋰離子電容器(LICs)的概念成為一個熱點。一些公司已經開發了基于活性炭和鋰離子嵌入型材料的有機系的LICs,和普通的有機系EDLCs不同的是,LICs的有機電解液中還必須加入一定量的鋰鹽。經過較長時間的循環后,這種基于活性炭和含鋰鹽的有機系LICs的容量會逐漸退化,電阻也會上升,而活性炭的質量對于電容器的穩定性起著決定性作用。
一般認為,官能團是有機電解質中活性炭循環和性能能下降的主要原因,所以在材料制作過程中一般會選擇去官能團化。然而在最近的報道中研究者發現活性炭表面的官能團也可以通過提供贗電容來提升性能,但在較大的電壓窗口下則會有害其循環穩定性,然而迄今為止,活性炭上不同的官能團在有機電解質中的電化學研究并不完善。
二、官能團作用新發現
近日, 德國卡爾斯魯厄理工學院Sonia Dsoke團隊詳細地分析了活性炭電極在含鋰鹽的有機電解質中的電化學性能與引入不同官能團的關系,研究發現:
1)表面官能團(尤其是C=O和O-C=O)能夠帶來更高的容量(相比于未改性的提升超過50%),但倍率性能會顯著下降;
2)使用合適的電解液,在活性炭上引入適量的官能團有助于擴大其電化學穩定窗口,從而提升能量密度。然而過量的官能團會造成大量不可逆的氧化還原產物阻塞活性炭的空隙,導致容量的迅速衰減。
三、具體發現過程詳述
3.1 制備不同官能團含量的活性炭
所有活性炭材料都是以商用活性炭為基礎,通過不同的方式進行處理來引進官能團,具體信息如表1所示。
表1 不同方法處理的活性炭及其縮寫

表2 不同材料的比表面積和孔容量


圖1 不同活性炭材料的氮氣吸脫附曲線(a)和孔徑分布(b)
通過不同活性炭材料的比表面積測試結果可以看出(表2和圖1a),由于引入的官能團會位于材料孔的內部和入口處,所以會造成比表面積不同程度的下降;而在Ar/H2中還原的樣品經過了去官能團化,所以其比表面積略有提升;孔徑分布圖可以看出,所有材料的微孔尺寸都大于電解液離子,因此不會影響離子的遷移擴散(圖1b)。

圖2 (a)C 1s的XPS圖譜,所有圖都用最強的峰進行了歸一化處理;(b)不同材料的XPS測得的含氧官能團的濃度比;(c)不同材料的拉曼光譜圖。
通過XPS測試,作者分析出了不同材料的的含氧官能團的濃度(圖2a-b),通過歸一化的方法,發現在Ar/H2中還原后的樣品RE-HC中含氧官能團最少,通過H2O2,H2SO4和HNO3處理的樣品C-O逐漸增加,而且引入了O=C-O, C=O官能團,含量也是一次增加。拉曼光譜則給出了材料的石墨化程度的信息,其ID/IG的比值在3.99到4.45之間(圖2c)。
3.2 不同炭材料的電化學性能測試

圖3 不同炭材料組成的對稱式AC||AC電容器的在兩種電解液LP30和LiTFSI/EC-DMC中的電化學測試數據:(a, d)不同電流密度下的比電容;(b, e)在0.1A/g下的恒流充放電曲線;(c, f)在10mV/s時的循環伏安曲線。
將這些活性炭材料組成的對稱式AC||AC電容器分別在兩種電解液1M LiPF6/EC-DMC(LP30)和LiTFSI/EC-DMC中進行了電化學測試。由圖3可以看出,在低電流密度(0.1A/g)下,硝酸處理的N-HC樣品具有最多的含氧官能團,它表現出最高的比電容120F/g,說明含氧官能團能提升材料的比電容;然而,隨著電流密度的增加,在較大的電流密度(10A/g)下,N-HC樣品的比電容遠低于其他樣品,這主要是受限于含氧官能團的氧化還原反應的動力學,而且大量的官能團也會阻礙離子在孔結構中的遷移擴散。在兩種電解液中,相對于HC,官能團減少的RE-HC的比電容和倍率性能都降低了,而且倍率性能下降比較明顯,這是一個比較有意思的現象。官能團增多的H2O2-HC,H2SO4-HC和N-HC倍率性能都下降了。

圖4 不同電極材料在靜態模式(a和b)和動態模式(c和d)下在兩種電解液中的電位移動。
在之前的文獻中就已經有報道表面官能團會影響電容器的初始的開路電位和隨時間的電位移動,本文也系統的研究了各種材料的相關性能。圖4a和b是兩種電解液中在靜態模式下開路電位的變化情況,可以發現去官能團化的RE-HC樣品在兩種電解液中電位都在上升,而含氧官能團比較豐富的N-HC樣品其電壓則表現出向兩個方向的漂移,這是由于其官能團在兩種不同的電解液中發生了不同的自發反應引起的。圖4c和d是兩種電解液中動態模式下的電位變化情況,通過浮地測量的方法,每過10小時測量一次,和其他材料相比N-HC樣品具有最小的電位移動(4.25-4.55V vs. Li+/Li),而RE-HC則表現出最大的電位變化。通過圖5可以看出,所有的電極材料在LP30電解液中充放電曲線一直保持著比較好的對稱性,表明在此電解液中有更高的庫倫效率。

圖5 不同炭材料在兩種電解液中的浮地測量的比容量的演化、初始和循環后的充放電電位圖:(a-c)是在LP30電解液;(d-f)LiTFSI電解液。

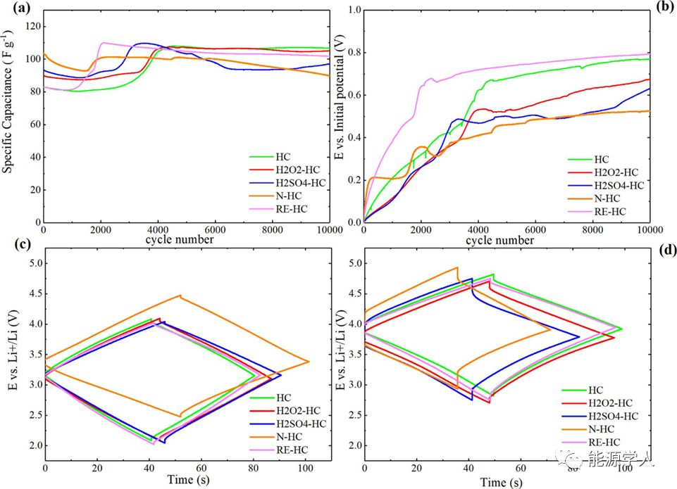
圖6 不同材料在LP30電解液中以1A/g的電流密度在0-2V的循環充放電測試:(a)比容量的演化;(b)電位的移動;(c-d)第一圈和最后一圈的充放電電位圖。
圖6給出的是不同材料的循環性能測試結果,值得注意的是這些電極的電位移動與浮地測試的結果趨勢類似,但是含氧官能團的材料的iR-drop(壓降)更加明顯,這一點初始材料和去官能團化的材料表現的更好,因為隨著充放電循環的進行,官能團越多的材料產生的不利產物會更多,性能也會隨之下降。

圖7 不同材料在E=0V時不同材料不同浮地測試時間的電化學阻抗譜:(a)在LiTFSI電解液中,(b-d)在 LP30電解液中。
電化學阻抗譜可以進一步理解官能團對材料阻抗的影響。從圖7可以看出,除了N-HC之外,其他材料都表現出典型的雙電層電容的阻抗譜,即高頻為一個半徑較小的半圓形,中高頻有一小段傾斜,低頻區的線接近豎直。很明顯N-HC的低頻區的線明顯的偏離豎直的傾斜,這可能是由于較多的官能團阻礙了離子的深度遷移和向微孔的擴散。

圖8 不同材料在LP30電解液中,不同材料的SEM圖片:(a-c)三種材料的初始電極;(d-f)經過在LP30電解液中浮地測試之后的的電極,(g-i)是它們的放大。
圖8給出的是初始電極與浮地測試循環后的形貌對比圖,從圖8d-f可以看出經過循環后,HC和N-HC樣品的電極出現了龜裂,去官能團化的RE-HC則沒有,表明了充放電過程中發生的氧化還原反應對電極造成的損傷。(此處與圖6a的電化學測試結果不太相符,其中RE-HC穩定性并不如HC,所以如此解釋讓人覺得不合理)

圖9 初始電極和循環后電極上sp2碳含量的變化
圖9所示為初始電極和循環后電極上sp2碳含量的變化。可以觀察到循環后的樣品sp2信號在C 1s XPS譜中的含量顯著降低,H2O2-HC和N-HC比RE-HC和HC的信號衰減更明顯,這表明這些含氧官能團較多的材料在表面形成的惰性層更厚,這也可能與這些電極在高電位下具有良好的穩定性有關。
四、本文小結
本文有一定的借鑒意義:
1)在鋰離子電容器中,通過去除官能團的方法,可以使電極獲得更好的穩定性,但是會降低其電化學穩定窗口,導致能量密度的降低;
2)官能團含量過多的N-HC樣品的倍率性能、循環性能、電壓窗口等都表現的過低;
3)在LP30電解液中,適量的官能團既能引入一定的贗電容反應增加容量,又可以提高電極的電化學穩定窗口,但是其倍率性能會降低,穩定性有待進一步研究。
但意義深度還不夠:
文章中同時涉及到兩種電解液1M LiPF6/EC-DMC(LP30)和LiTFSI/EC-DMC中,這顯得文章內容十分冗雜,很多實驗判定結果并不能統一,難以找出規律性的東西。所以,官能團是有利還是有害,跟電解液有很大關系。那么,為什么不同電解液有著不同的測試結果(電位窗口高低,初始電位偏移,倍率性能和循環穩定性等),如果涉及到電解液成分和含氧官能團的相互作用,更應該從官能團種類的角度去對比分析問題。如果能針對兩種電解液分而論述,挖掘出活性炭官能團與電解液官能團的作用機理,后期再能定量去分析,將會是很不錯的工作。也就是說要解決什么樣,多少量的官能團可以與什么樣的電解液來搭配的問題,這才會給其他研究者甚至產業界以更多的借鑒。
Ziming Ding, Vanessa Trouillet and Sonia Dsoke, Are Functional Groups Beneficial or Harmful on the Electrochemical Performance of Activated Carbon Electrodes?, Journal of The Electrochemical Society, 166 (2019) A1004-A1014, DOI:10.1149/2.0451906jes







