
【CAS】72-48-0
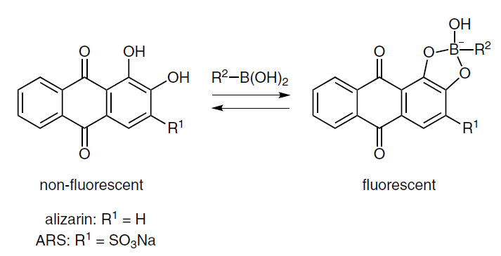
顯色機理


將TLC板快速浸入1 mM的茜素丙酮溶液中。
晾干,TLC板變成紫色。
366nm光照下觀察。
- Briefly dip the TLC plate in a 1 mM alizarin solution
in acetone;
- Let dry and wait until the TLC plate becomes pink;
- Observe under 366 nm light.



【CAS】72-48-0
顯色機理


將TLC板快速浸入1 mM的茜素丙酮溶液中。
晾干,TLC板變成紫色。
366nm光照下觀察。
- Briefly dip the TLC plate in a 1 mM alizarin solution
in acetone;
- Let dry and wait until the TLC plate becomes pink;
- Observe under 366 nm light.
