高錳酸鉀是有機化學常用試劑,一般來講,它的還原產物規律如下。

酸性環境下高錳酸鉀還原產物幾乎為無色,有利于觀察反應現象,有機化學中經常用到硫酸酸化的高錳酸鉀溶液。
常見易被高錳酸鉀氧化的有機物
含不飽和碳碳鍵雙鍵或叁鍵的物質,如烯烴、二烯烴、炔烴、苯乙烯、植物油、油酸、聚異戊二烯(天然橡膠)、裂化汽油等。
苯的同系物、苯酚、醇。
含醛基的物質,如蟻醛(甲醛)、葡萄糖、麥芽糖、蟻酸(甲酸)、甲酸酯等。
某些具有還原性的維生素,如維生素C、維生素E等
烯、炔與高錳酸鉀(H+)溶液的反應
烯、炔分子中的碳碳π鍵易斷裂,發生反應生成烴的含氧衍生物。
烯烴被高錳酸鉀溶液氧化后的產物通常如下表所示。

如:R-CH=CH-R→2RCOOH
R-CH=CH2→R-COOH+CO2
R2C=CH-R→RCOR+R-COOH
炔烴被高錳酸鉀溶液氧化為羧酸和二氧化碳。
R-C≡CH→R-COOH+CO2
根據烯、炔的氧化產物,還可以確定原烯、炔分子中不飽和鍵的數目和位置,推測其分子結構。如下題:
某烯烴與酸性KMnO4溶液作用后得到的氧化產物有CO2、乙二酸(HOOC-COOH)和丙酮 (CH3COCH3),則該烯烴結構簡式可能是

由題意不難得到烯烴中的部分結構:CH2=、=CH-CH=、(CH3)2C=,上面選項中只有一個三者都有,是不是很容易找出答案?
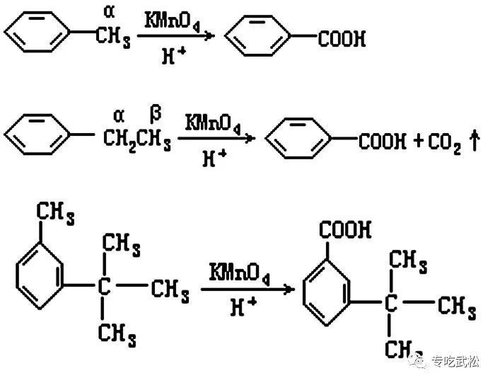
苯的同系物與高錳酸鉀(H+)溶液的反應
苯的同系物分子中的苯環結構比較穩定,不易被氧化,但側鏈烴基具有α-氫原子時(有機物中與官能團直接相連的碳原子叫做α-碳原子,這里指與苯環直接相連的碳原子上的氫原子),α-碳原子容易被高錳酸鉀(或重鉻酸鉀)等強氧化劑氧化成為羧基,如果α-碳上沒有氫原子,則側鏈不易被氧化。
如甲苯、乙苯氧化均得到苯甲酸,下圖中第3個反應中,沒有α-氫原子的烴基不易被氧化。

這里提醒注意,不要認為是苯環就穩定,有了這種固定印象可不大好。舉個例子:


這題的結論當然是苯很穩定,不與濃、熱的高錳酸鉀酸性溶液反應。而不能說苯環很穩定,不與高錳酸鉀酸性溶液反應,但苯環畢竟是具有穩定性的,所以注意觀察上題中的反應條件:濃、熱,不要離開反應條件談反應。
醇、醛與高錳酸鉀(H+)溶液的反應
醛一般被氧化為羧酸,伯醇一般氧化為醛,進一步氧化為羧酸;仲醇一般氧化為酮。
醛 RCHO→RCOOH
伯醇 RCH2OH→RCHO→RCOOH
仲醇 R2CHOH→RCOR
叔醇(R3C-OH)的反應千萬不要百度,百度的結果,幾乎清一色地說不反應,害人匪淺。這個還是查閱教科書吧。

酸性條件下,叔醇易發生消除反應(即人教版中的消去反應),生成烯烴,再被氧化成羧酸、酮、二氧化碳、水等小分子物質。叔醇的反應,雖然小朋友們很容易就能弄懂,但也不必過多研究。這里提醒一下,不要輕信百度公司和百度搜索結果。
苯酚與高錳酸鉀(H+)溶液的反應
苯酚是無色針狀晶體,在空氣中容易被氧化,顏色變為粉紅色并逐漸加深。與重鉻酸鉀反應生成黃色的對苯醌(這個不需要知道太多)。

苯酚與高錳酸鉀酸性溶液反應比較復雜,除上述反應外,可能會繼續被氧化成小分子物質。






