
1879年A. Michael第一次報道了合成糖苷的反應,2,3,4,6-四-O-乙酰基-α-D-吡喃葡萄糖基氯和4-甲氧基苯酚的鉀鹽在乙醇中反應,生成相應的β-D-O-苯基葡萄糖。但是乙酰基在強堿性條件下會發生水解,因此此條件只能用于制備芳香基葡萄糖,否則乙酰基會遭到破壞。二十年后,在1901年,W. Koenigs和E. Knorr改進了此反應,他們將四-O-乙酰基-α-D-吡喃葡萄糖基溴與過量的碳酸銀在甲醇中反應得到了相應的β-D-O-甲基葡萄糖,而且乙酰基都完整保留。通過糖基鹵化物和醇或酚在重金屬鹽或路易斯酸存在下制備烷基和芳基-O-糖苷的反應被稱為Koenigs-Knorr糖苷化反應。
反應機理
由于此反應的高非對映立體選擇性,親核試劑的進攻應該遵循SN2機理,而且2位的乙酰基有鄰基參與效應,形成了一個二氧烷基鎓離子和氧羰基鎓離子互變的中間體。

反應特點
1)糖基鹵化物可以利用鹵化試劑鹵化異頭碳上的羥基得到;2)各種糖基鹵化物的反應活性和穩定各不同,主要和鹵原子的種類和糖環上的取代基的種類有關:氯比溴穩定,但碘代物通常很不穩,糖環上的吸電子取代基會增加其穩定性;3)糖基鹵化物的反應活性還和反應的溶劑,溫度和一些輔助試劑(路易斯酸和重金屬鹽)有關;4)反應具有立體定向性,取代總是發生在異頭碳(C1)上,因此具有很高的非對映立體選擇性;5)當鄰基參與不能進行時(如R4=O-alkyl),受端基異構效應的影響形成α-O-糖;6)當可以進行鄰基參與時(如R4=O-acyl),可以由α-糖基鹵化物得到β-O-糖;7)反應輔助試劑或催化劑通常是溶于非質子性溶劑中的銀鹽或汞鹽,反應副產物酸通常用一些堿(如碳酸銀,三甲基吡啶)中和;8)由于糖基鹵化物的熱力學穩定性很差,因此反應通常在室溫或低于室溫下進行。
反應缺點:1)糖基鹵化物對熱不穩定,制備的條件比較苛刻;2)糖基鹵化物可以發生水解或1,2-消除;3)反應的輔助試劑通常需要等摩爾量加入,并且它們通常是有毒的或具有爆炸性。
反應實例

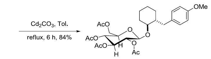
【Helv. Chim. Acta 2003, 86, 661-672】


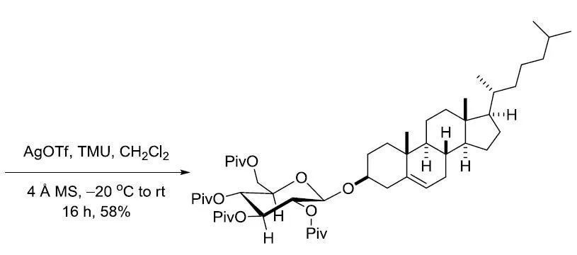
【J. Org. Chem. 2000, 65, 8758-8762】

【J. Org. Chem. 2004, 69, 1097-1103】


【Molecules 2004, 9, 902-912】


【Monat. Chem. 2006, 137, 365-374】


【Bioconjugate Chem. 2011, 22, 752-758】
編譯自Strategic Applications of Named Reactions in OrganicSynthesis, László Kürti and Barbara Czakó, Koenigs-Knorr glycosidation,page 246-247.







