反應實例

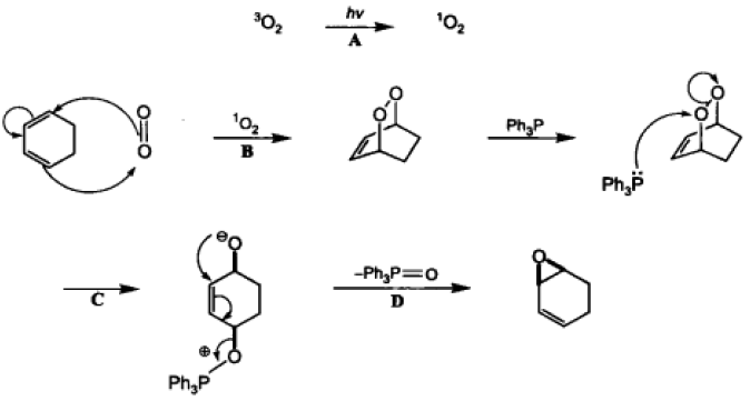
反應說明:該反應是氧氣與環己二烯發生Diels-Alder反應形成橋環化合物,然后用親核性較強的三苯基膦處理,開環得到環氧乙烷的反應
反應機理

A:光照形成單線態氧
B:發生Diels-Alder反應
C:三苯基膦作為親核試劑進攻過氧化合物使氧氧鍵斷裂
D:分子內親核加成脫掉一分子三苯基氧膦形成環氧乙烷
本文摘自---有機化學反應機理

反應實例

反應說明:該反應是氧氣與環己二烯發生Diels-Alder反應形成橋環化合物,然后用親核性較強的三苯基膦處理,開環得到環氧乙烷的反應
反應機理

A:光照形成單線態氧
B:發生Diels-Alder反應
C:三苯基膦作為親核試劑進攻過氧化合物使氧氧鍵斷裂
D:分子內親核加成脫掉一分子三苯基氧膦形成環氧乙烷
本文摘自---有機化學反應機理