夏寶玉課題組:室溫下高效轉化CO2為CH4的鈣鈦礦催化劑!
▲第一作者:陳圣華和蘇亞瓊 ;通訊作者:夏寶玉;通訊單位:華中科技大學 論文DOI:10.102 ...

▲第一作者:陳圣華和蘇亞瓊 ;通訊作者:夏寶玉;通訊單位:華中科技大學 論文DOI:10.102 ...
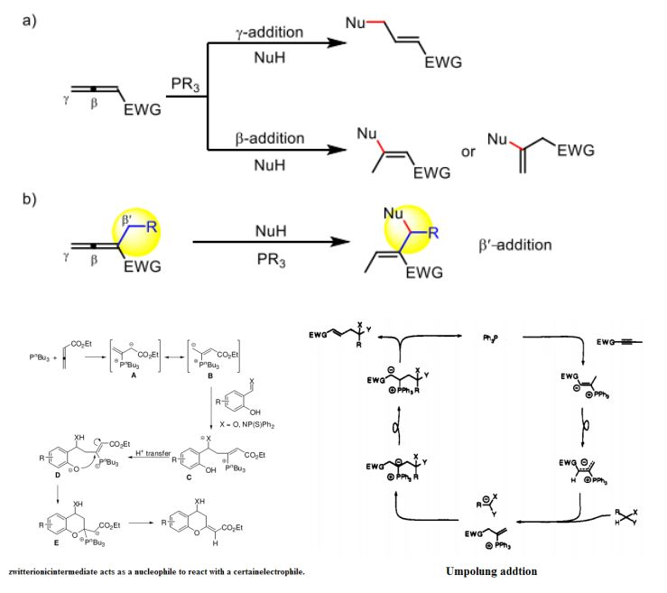
在過去的幾十年中,膦催化的反應受到了廣泛的關注,因為它們為有機合成中形成各種C-C鍵提供了強有力的,無金屬的途徑,消除了有機產品中金屬的污染。在眾多膦催化的反應中,在這一領域 ...
1. 引言:協同催化的意義 多相催化劑通常包含載體、活性組分以及助劑。根據它們的命名就可以大概明白其在反應中發揮的作用。但是眾多的研究告訴我們事情決沒有這么簡單,它們之間的協同 ...
▲第一作者:亓龍副研究員,陳靜雯博士 ;共同通訊作者: 亓龍副研究員,張治國教授,黃文裕副教授 通訊單位: 埃姆斯國家實驗室、愛荷華州立大學、浙江 ...
▲第一作者:楊朋朋/張曉隆/高飛躍 ;通訊作者:高敏銳/俞書宏 通訊單位:中國科學技術大學論文DOI:10.1021/jacs.0c01699 全文速覽該工作利用酸刻蝕 ...
導語烯烴的雙官能團化反應,能夠引入兩個原子和基團(包括碳原子和雜原子)到烯烴C=C的兩端,不但可以迅速增加產物分子的多樣性,而且能夠減少合成步驟;所以這一研究領域近年來得到了迅猛發展,成為當前有機化學 ...
導語 一直以來,人們夢想著像看電影一樣看到催化過程。但是,在沒有原位方法之前,催化過程如同一個“黑匣子”,研究人員只能監測投入了多少原料,得到了多少產物;只能觀察催化劑反應前 ...
DOI: S1872-2067(19)63431-5前 言近日,《催化學報》在線發表了中科院北京納米能源與系統研究所李琳琳課題組關于壓電勢構建的內建電場增強光和光電催化的綜述 ...
水熱合成法一直是納米材料合成的重要方法之一。水熱反應因需要高溫高壓條件,反應器中的具體過程難以被直接觀察,因此水熱釜也一直被稱為是材料合成中的“黑匣子”(圖1)。如今,中國科學家利用氧化石墨烯(GO) ...
有機硅消泡劑的優缺點優點:1)應用面廣:由于硅油特殊的化學結構,既不與水或含極性基團的物質相溶,也不與烴類或含烴基的有機物相溶。由于硅油對各類物質的不溶性,因而應用面廣,既可用于水體系消泡,又可用于油 ...