反應實例

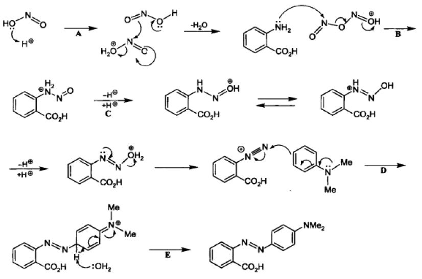
反應說明:該反應是苯胺在亞硝酸的作用下轉變為重氮鹽,然后與N,N-二甲基苯胺反應生成偶氮苯的典型反應
反應機理

A:亞硝酸在酸性條件下形成亞硝酸酐
B:苯胺在亞硝酸酐上加成
C:質子遷移,然后脫去一分子水形成重氮鹽
D:富電子的二甲基苯胺在重氮鹽上加成反應
E:芳構化
本文摘自---有機化學反應機理

反應實例

反應說明:該反應是苯胺在亞硝酸的作用下轉變為重氮鹽,然后與N,N-二甲基苯胺反應生成偶氮苯的典型反應
反應機理

A:亞硝酸在酸性條件下形成亞硝酸酐
B:苯胺在亞硝酸酐上加成
C:質子遷移,然后脫去一分子水形成重氮鹽
D:富電子的二甲基苯胺在重氮鹽上加成反應
E:芳構化
本文摘自---有機化學反應機理