反應實例

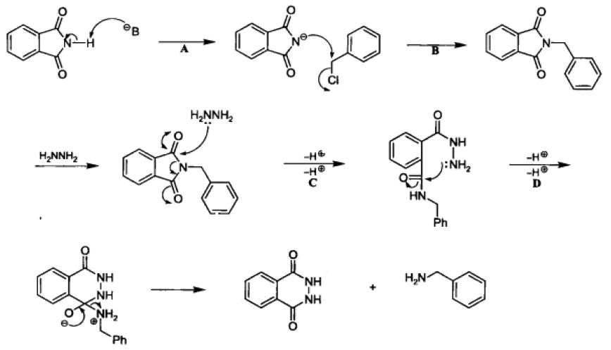
反應說明:該反應為Gabriel反應,是由鹵代烴與鄰二苯甲酰胺反應合成伯胺的反應
反應機理

A:堿奪取鄰苯二甲酰胺上的活潑氫形成酰胺負離子
B:酰胺負離子進行烷基化
C:肼加成到酰胺上形成酰肼
D:分子內加成反應得到芐胺
本文摘自---有機化學反應機理

反應實例

反應說明:該反應為Gabriel反應,是由鹵代烴與鄰二苯甲酰胺反應合成伯胺的反應
反應機理

A:堿奪取鄰苯二甲酰胺上的活潑氫形成酰胺負離子
B:酰胺負離子進行烷基化
C:肼加成到酰胺上形成酰肼
D:分子內加成反應得到芐胺
本文摘自---有機化學反應機理