多相催化劑在工業生產中具有廣泛的應用,主要是因為它們可以回收再利用,節約成本。但是多相催化劑仍然還存在不足,它們的催化選擇性遠不如均相反應中的金屬有機催化劑和生物酶催化。
均相反應中的金屬有機催化劑和生物酶在催化反應中之所以有很高的催化選擇性主要是因為這些催化劑的催化中心被包覆在一些有機框架之中。這些有機框架與反應底物之間的非共價作用使得反應底物以特定取向與活性中心作用,所以選擇性特別高。利用這種非共價作用,人們通過對多相催化劑中的活性組分進行表面改性,成功的提高了催化劑的選擇性。

圖1. 金屬-配體界面效應調控納米催化性能
C. A. Schoenbaum; D. K. Schwartz; J. W. Medlin. Controllingthe Surface Environment of Heterogeneous Catalysts Using Self-AssembledMonolayers. Acc. Chem. Res., 2014, 47: 1438-1445.
通過對不同的金屬催化劑的表面進行有機分子組裝,可以提高催化劑的在反應中的選擇性。
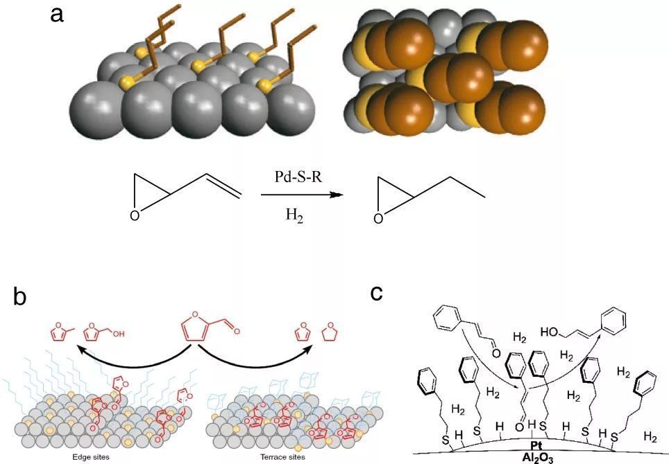
Medlin課題組通過在Pd催化劑表面自組裝單分子層硫醇分子,可以使Pd催化劑在選擇性氫化3,4-環氧-1-丁烯制備1,2-環氧丁烷時,在保持同等的轉化率的前提下將1,2-環氧丁烷的選擇性從11%提高94%。

圖2. 硫醇提高3,4-環氧-1-丁烯選擇性氫化制1,2-環氧丁烷
S. T. Marshall; M. O’brien;B. Oetter; A. Corpuz; R. M. Richards; D. K. Schwartz; J. W. Medlin. Controlledselectivity for palladium catalysts using self-assembled monolayers. Nat. Mater., 2010, 9: 853-858.
同樣地,Medlin課題組在Pd納米顆粒催化劑表面組裝分子層硫醇分子,還可以提高Pd催化劑在糠醛氫化中呋喃醇和甲基呋喃的選擇性以及肉桂醛氫化中肉桂醇的選擇性。

圖3. 表面配體提高糠醛氫化選擇性
S. H.Pang; C. A. Schoenbaum; D. K. Schwartz; J. W. Medlin. Directing reactionpathways by catalyst active-site selection using self-assembled monolayers. Nat. Commun., 2013, 4: 2448-2454.

圖4. 表面配體提高肉桂醛氫化選擇性
K. R.Kahsar; D. K. Schwartz; J. W. Medlin. Control of Metal Catalyst Selectivitythrough Specific Noncovalent Molecular Interactions. J. Am. Chem. Soc., 2013,136:520-526.
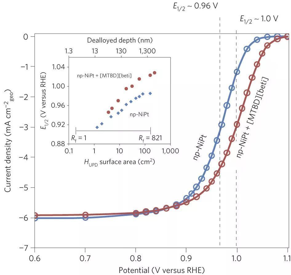
除此之外,一些新型的金屬-配體界面得到新的認識和應用并逐漸發展起來。如基于離子液體的金屬-有機界面在催化ORR反應中得到應用。
通過形成離子液體與金屬催化劑的界面,電催化反應中的反應電極可以選擇性的吸附溶液中的氧氣分子進行ORR反應,同時又能阻止溶液中的醇類分子進入電極表面,防止電極的毒化,提高電催化反應的效率和催化劑的使用壽命。

圖5. 離子液體-金屬界面納米催化劑的ORR性能
J. Snyder; T. Fujita; M. W.Chen; J. Erlebacher. Oxygen reduction in nanoporous metal–ionic liquidcomposite electrocatalysts. Nat. Mater.,2010, 9: 904-907.
一些常見的小分子如CO,CN-1等通常被認為會吸附在催化劑并將其毒化,但是近來的研究發現吸附了CO或CN-1的催化劑不但沒有被毒化,催化活性反而得到增強。

圖6. CO-Au界面增強納米金催化甲醇氧化
P. Rodriguez; Y. Kwon; M. T.M. Koper. The promoting effect of adsorbed carbon monoxide on the oxidation ofalcohols on a gold catalyst. Nat. Chem.,2011,4: 177-182.
Markovic課題組的研究發現,吸附了CN-1離子的Pt{111}面在ORR反應中的反應活性得到了明顯的增強。研究表明,這是因為CN-1/Pt{111}界面的存在在不影響O2吸附效率的前提下可以阻止硫酸根或磷酸根在Pt表面的吸附,保證Pt不被毒化。

圖7. CN-Pt界面防止Pt被毒化
D. Strmcnik, N. M. Markovic et al. Enhanced electrocatalysisof the oxygen reduction reaction based on patterning of platinum surfaces withcyanide. Nat. Chem., 2010, 2: 880-885.
鄭南峰課題組提出了一種利用有機配體調控貴金屬納米催化劑界面電子結構的策略。他們通過乙二胺的螯合配位制備出了表面有乙二胺螯合的超細Pt納米線,對硝基芳烴超乎尋常的選擇性氫化作用。

圖8. 有機配體修飾的超細Pt納米線
Guangxu Chen, ChaofaXu, Gang Fu, Nanfeng Zheng. Interfacial Electronic Effects Control the ReactionSelectivity of Platinum Catalysts. Nature Mater. 2016, 16,
研究發現,Pt納米線在催化硝基苯氫化中可以選擇性的生成羥基苯胺。結合亞埃級球差校正HRTEM、XAFS以及TPD-MS等解析出Pt納米線的精細結構。傅鋼課題組通過DFT計算出乙二胺上N上的孤對電子給Pt,使表面Pt原子帶負電荷,負電荷定域在Pt-N鍵周圍的表面原子上,而內層Pt仍是電中性,大量的乙二胺在Pt表面吸附使得羥基苯胺很難在Pt表面吸附,所以反應能夠高選擇性的得到羥基苯胺,而不會繼續氫化生成苯胺。

圖9. Pt-乙二胺界面效應機理
綜上,控制和設計適當的金屬-配體間界面不僅可以提高催化劑在反應中的催化選擇性,而且還可以增強催化活性。這些研究成果對于實際工業體系中的催化劑改性應用,應該是最具有可見的經濟價值了!







