【英文名稱】MagnesiumBromideDiethyl Etherate
【分子式】 C4H10Br2MgO
【分子量】258.24
【CA登錄號】[29858-07-9]
【結構式】MgBr2-OEt2
【物理性質】MgBr2-OEt2配合物為灰色固體,mp > 300 oC,fp 35 oC。
【制備和商品】MgBr2-OEt2配合物在各大試劑公司均有銷售,也可通過金屬鎂與1,2-二溴乙烷在無水乙醚中反應制備而來。
【注意事項】新鮮制備的MgBr2-OEt2 溶液可以在室溫下放置數月,固體MgBr2-OEt2 則能保存在真空干燥器中保持活性數月不變。
--------------------------------------------------------
MgBr2-OEt2 配合物與傳統鎂離子路易斯酸催化劑的最大不同在于它不但具有親氧性,同時還具有配位性質,能夠作為一個雙齒螯合路易斯酸試劑參與到許多螯合控制的反應中,如環加成反應、不對稱羥醛縮合反應、重排反應、自由基加成反應、氫轉移反應、立體選擇性還原反應和正位異構化反應等。2,5-二甲氧基-2,5-二氫呋喃與乙基烯醚在催化量的MgBr2-OEt2 配合物誘導下能夠得到2-呋喃乙基縮醛 (式1)[1]。該反應是一個縮醛與乙基烯醚的縮合反應,可以用于合成各種含呋喃環結構的化合物。

MgBr2-OEt2配合物與Bu3SnH組合使用,能夠有效實現螯合控制的甲氧基亞芐基縮醛的還原開環反應 (式4)[4]。該反應的高收率、高區域選擇性和較好的官能團容忍性等優點使得它為天然產物的合成提供了一種非常實用的方法。

MgBr2-OEt2配合物與Me2S組成的誘導體系則能溫和而高區域選擇性地實現對甲氧基芐基醚的脫保護反應 (式5)[5]。

在 MgBr2-OEt2 配合物誘導的酰胺與酸酐的反應中,MgBr2-OEt2能同時活化兩個反應底物,從而為酰胺類化合物的N-酰化反應提供了一種溫和實用的方法 (式2)[2]。

MgBr2-OEt2 配合物還能與鋰試劑發生交換反應,如烯丙基鋰與過量MgBr2-OEt2 作用底物生成環硅烷的反應 (式3)[3]。

MgBr2-OEt2配合物作為一個螯合路易斯酸試劑,能夠高非對映選擇性地實現親核試劑對芳基醛的加成反應 (式7)[7]。該反應說明MgBr2-OEt2 配合物能夠有效形成七元螯合環。

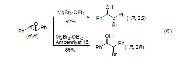
手性底物如環氧乙烷在MgBr2-OEt2 配合物的作用下則能發生立體拆分的環開反應 (式6)[6]。

2,3-環氧基胺在MgBr2-OEt2配合物作用下能夠高區域選擇性和立體選擇性地發生擴環反應,得到3-羥基氮雜環丁烷 (式8)[8]。

內容轉自:《現代有機合成試劑——性質、制備和反應》,胡躍飛等編著