芳香胺是生物活性分子中廣泛存在的結構單元,因此,開發新型芳基 C-N鍵的構建方法對苯胺類衍生物的合成具有重要意義。苯酚衍生物具有豐富的保護基種類和反應活性,可作為鹵代芳烴的替代物與親電試劑進行偶聯反應,從而合成芳香胺類化合物,比如Wenkert曾利用鎳催化C-O鍵活化實現了芳基甲基醚與胺的偶聯反應(J. Am. Chem. Soc. 1979, 101, 2246)(Scheme 1B)。然而,芳基硅醚卻極少作為偶聯反應的親電試劑。由于硅醚保護基具有一定穩定性,并且能進行后續轉化,因此開發新型芳基硅醚參與的偶聯反應具有很強的吸引力。

(來源:Angew. Chem. Int. Ed.)
近日,美國密歇根大學John Montgomery教授課題組發展了一種新型鎳催化芳基硅醚的胺化反應。該反應底物范圍廣泛,可以實現包括脂肪伯胺在內的多種胺與芳基硅醚的偶聯,為芳香胺類化合物的合成提供了新的方法(Scheme 1B和C)。作者同時開發了鎳催化、配體調控的芳基甲基醚和硅基醚的選擇性活化方法。相關研究成果發表在Angew. Chem. Int. Ed.上(DOI:10.1002/anie.201806790)。
首先,作者以嗎啉和二甲基叔丁基硅氧基取代的聯苯為底物,對反應條件進行了篩選(Table S1)。通過對一系列富電子的膦配體和氮雜環卡賓配體進行篩選,作者發現以IPrMe為配體可得到產率為93%的胺化產物。而且,在該反應條件下,苯甲醚和芳基鹵代物(Br, F)等其他苯酚衍生的芳基親電試劑只能獲得較低的產率。

(來源:Angew. Chem. Int. Ed.)
完成反應條件優化之后,作者考察了胺類底物的適用范圍(Table 1)。嗎啉、哌嗪或哌啶等環狀胺均可以與芳基硅醚發生偶聯反應。增加胺的空間位阻會導致反應的產率降低。一級或二級苯胺類衍生物及脂肪伯胺也可以中等到優異的產率獲得相應的目標產物。而在之前報道的芳基甲基醚的胺化反應中,脂肪伯胺類化合物很難與相應的甲基醚發生偶聯。

(來源:Angew. Chem. Int. Ed.)
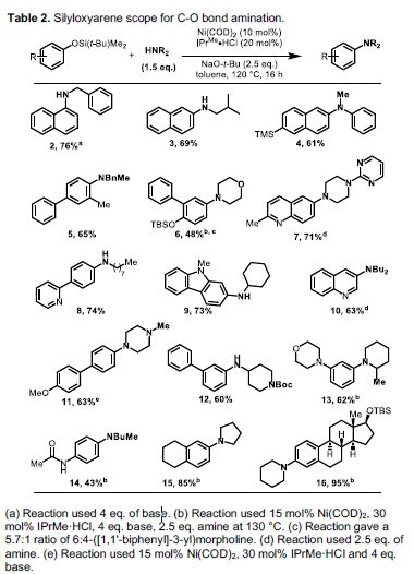
緊接著,作者考察了芳基硅醚底物的適用反應(Table 2)。1-萘基、2-萘基以及多種雜環(比如喹啉,吡啶,咔唑)取代的硅醚在該反應條件下均可以兼容。該反應可以耐受一些常用氨基和羥基保護基,比如Boc和甲氧基;未被保護的酰胺同樣可以順利反應。此外,含有烷基硅醚的雌二醇衍生物也可以與哌啶進行偶聯得到目標產物16。值得注意的是,在之前報道的鎳催化芳基甲基醚的偶聯反應中,底物中必須含有萘型大共軛芳環結構。

(來源:Angew. Chem. Int. Ed.)
鑒于該反應對芳基甲基醚的良好耐受性,作者考慮通過控制反應條件實現芳基甲基醚或硅醚的選擇性活化。在以17為底物的正交偶聯實驗中,作者通過配體調控實現了分子中硅醚和甲基醚的選擇性和順序性胺化和烷基化,殊途同歸地合成了化合物20(Scheme 2)。

(來源:Angew. Chem. Int. Ed.)
最后,作者對含有多種官能團的芳基化合物的順序性偶聯反應進行了研究(Scheme 3)。以化合物21為底物,其通過甲基化、鈀催化的Suzuki偶聯、鎳催化芳基甲基醚的烷基化以及鎳催化芳基硅醚的氨化得到目標產物28。這一結果充分證實了新方法的可控性及其在化合物后期修飾方面的潛力。

(來源:Angew. Chem. Int. Ed.)
結語:美國密歇根大學John Montgomery教授課題組通過鎳催化的芳基硅醚的胺化反應實現了芳香胺類化合物的快速合成,該反應可通過配體的調控選擇性活化硅醚及甲基醚,為復雜化合物的構建及后修飾提供了新方法。







