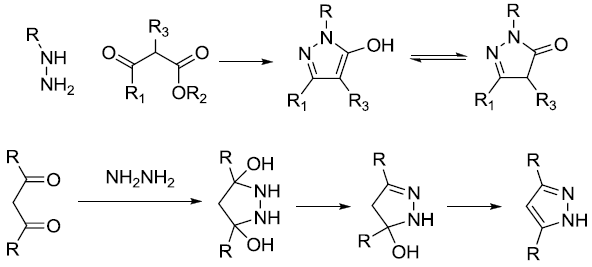
肼或取代肼與β-二羰基化合物反應生成吡唑或吡唑酮環體系。參見Paal-Knorr吡咯合成反應。

反應機理

或

反應實例




參考文獻
1 (a) Knorr, L. Ber 1883,16, 2597. (b)Knorr, L. Ber 1884, 17, 546, 2032.(c) Knorr, L. Ber. 1885, 18, 311. (d) Knorr, L. Ann.1887,238, 137.
2 Burness, D. M. J. Org.Chem. 1956, 21, 97

肼或取代肼與β-二羰基化合物反應生成吡唑或吡唑酮環體系。參見Paal-Knorr吡咯合成反應。

反應機理

或

反應實例




參考文獻
1 (a) Knorr, L. Ber 1883,16, 2597. (b)Knorr, L. Ber 1884, 17, 546, 2032.(c) Knorr, L. Ber. 1885, 18, 311. (d) Knorr, L. Ann.1887,238, 137.
2 Burness, D. M. J. Org.Chem. 1956, 21, 97