今天給大家介紹的文章是最近發表在Macromolecules上的Organocatalytic Ring-Opening Copolymerization of Biorenewable α?Methylene-γ-butyrolactone toward Functional Copolyesters: Preparation and Composition Dependent Thermal Properties,在此篇研究中,作者使用環狀磷腈超強堿(CTPB)/尿素二元催化劑,催化了α-亞甲基-γ-丁內酯(MBL)與ε-己內酯(ε-CL)和δ-戊內酯(δ-VL)的開環共聚反應并且研究了產物的熱性能。文章的通訊作者是青島科技大學的李志波教授等人。由于潛在的生物降解性、相容性以及良好的機械性能,近年來脂肪族聚酯受到了學術界和工業界的廣泛關注,被廣泛應用于可吸收縫線、骨螺釘、組織工程支架、藥物載體等領域。盡管市售的脂肪族聚酯如聚ε-己內酯(PCL)、聚δ-戊內酯(PVL)、聚乙醇酸(PGA)和聚乳酸(PLA)取得了巨大成功,但這些脂肪族聚酯固有的缺點仍然限制了其應用,例如由于PCL的疏水性和半結晶性質,其在體內的降解速度很慢(2-4年),限制了其作為短期植入材料的應用。獲得功能性聚酯的常用方法是環內酯的開環聚合反應(ROP),但該方法存在單體合成過程繁瑣、官能團與聚合條件不相容等問題。共聚通過將兩個或多個不同的單體并入一個聚合物鏈,以調整聚合物的組成和結構,成為了改變聚合物性能的一種常用的替代方法。生物質來源的α-亞甲基-γ-丁內酯(MBL)作為一種石油基單體MMA的代替物受到了廣泛的研究。然而大多數研究集中在通過活潑的環外雙鍵進行的乙烯基加成聚合,對于其內酯環的開環聚合報道較少。而長期被認為是一種“不可聚合”的γ-丁內酯(γ-BL)單體的聚合在近幾年迎來了技術突破。作者的課題組先前也開發了環狀磷腈超強堿和尿素類分子共同催化γ-BL開環聚合的體系。因此作者希望使用該體系對MBL單體與其他環內酯單體進行開環共聚的研究。

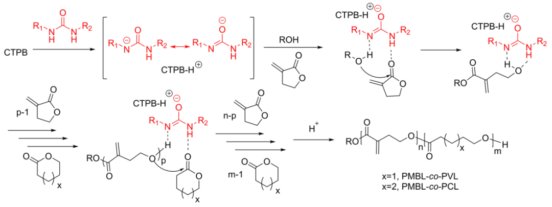
圖1. 共聚反應方程式以及催化劑結構
事實上由于高活性的外環雙鍵的競爭反應(圖1),MBL的化學選擇性的ROP比γ-BL更具挑戰性。盡管人們對MBL與其它內酯共聚的研究很感興趣,但在不發生雙鍵副反應的情況下成功制備共聚酯的例子仍然有限。目前僅有Hong和Chen等人有相關的研究,利用金屬催化劑制備了PMBL-co-PCL共聚酯,但其中MBL最高為40 mol %,同時MBL轉化率較低(低于7%)。在本篇研究中,作者使用環狀磷腈超強堿(CTPB)/尿素二元催化劑,催化了MBL與ε-CL和δ-VL的開環共聚。在優化的反應條件下,成功地制備了雙鍵不參與反應(VAP)的產物PMBL-co-PCL和PMBL-co-PVL聚酯(圖1),其催化機理如圖2所示。本文還系統地研究了聚酯產物的組成依賴性的熱性能。

圖2. 共聚反應的催化機理示意圖
作者經過了一系列的對比實驗,優化了反應條件(圖3)。首先是對尿素催化劑結構的篩選,作者發現當使用H或者吸電子取代的催化劑時,可以完全避免雙鍵副反應的發生。作者認為這是由于在雙鍵發生陰離子聚合副反應時,中間體為堿性較強的碳負離子中間體,而加入吸電子基可以使得催化劑酸性增加,進而”淬滅“這些負離子。此外,堿性較弱的尿素陰離子可以通過降低傳播鏈的親核性來抑制分子間或分子內的酯交換反應,這使得U3和U4對聚合的控制比U2更好。

圖3. 共聚合反應結果
作者接下來均使用U3作為了催化劑。作者發現在高溫(即常溫)時VAP副反應較多而當溫度變低,相應的副反應產物比例就會減少,而MBL的插入率和轉化率也會上升。上述結果清楚地表明,在低溫條件下,聚合有利于ROCP途徑形成開環共聚酯,這與之前的報道一致。研究也發現,CTPB與尿素的摩爾比對聚合選擇性也有重要影響,摩爾比下降會導致交聯聚合物的生成。作者隨后也進行了溶劑的篩選,總體來說,在低溫非極性溶劑中,CTPB/尿素催化體系的聚合反應更傾向于ROCP途徑,而不是VAP途徑,這與之前報道的鑭系催化劑反應相似。作者以不同的單體比例成功地合成了一系列含MBL的PMBL-co-PCL共聚酯,其含量在6 ~ 92 mol %之間。MBL與δ-VL的聚合選擇性與MBL與ε-CL的聚合選擇性相似,不同的是與后者相比,前者共聚中MBL的轉化率較低,共聚物的分子量較小。作者使用核磁共振氫譜和碳譜以及MALDI-TOF等方式證明了所得的共聚酯為預期結構且具有明確的 BnO/H 鏈末端。聚合動力學表明MBL單體相對來說是動力學不活潑的,尤其對于與δ-VL共聚的體系中 rδ?VL =13.64 而 rMBL= 0.044,因此聚合物結構呈階梯狀排布,聚合初期主要成分為δ-VL。與 ε-CL共聚的體系中,兩者的速率差異較小。

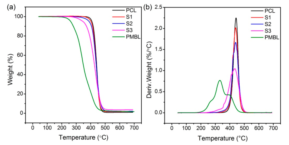
圖4. 共聚酯的TGA與DSC曲線圖
(S1-3中MPL的插入率分別為16 %,39 %,70 %)
作者使用熱重分析(TGA)和差示掃描量熱分析(DSC)對聚酯產物進行了熱性能分析。由圖4可知MBL的插入率的增加使得 Td,5%,即失重5 %時的溫度不斷下降。而二次加熱掃描DSC曲線(圖5)表明隨著MBL的加入,PMBL-co-PCL共聚酯的結晶度大大降低,最終當MBL插入率大于39 mol %時共聚酯成為非結晶聚合物。PMBL-co-PVL共聚酯也有類似的現象,當MBL插入率大于57 mol %時,共聚酯成為非結晶聚合物。

圖5. PMBL-co-PCL共聚酯的二次加熱掃描DSC曲線圖總體來說作者利用CTPB/尿素二元催化體系,成功地實現了MBL與ε-CL或δ-VL的化學選擇性的ROCP反應,制備出了功能獨特的共聚酯,其中MBL的插入率可以從低的6 mol %到高的90mol %。PMBL-co-PCL和PMBL-co-PVL共聚酯均表現出組分依賴的熱性能,MBL的加入破壞了聚合物鏈的有序排列,抑制了PCL和PVL組分的結晶。這些發現可能會對設計新的可持續熱塑性彈性體材料產生新的啟發。
作者:WLT 校稿人:LJH
DOI: 10.1021/acs.macromol.0c00684
Link: https://pubs.acs.org/doi/10.1021/acs.macromol.0c00684