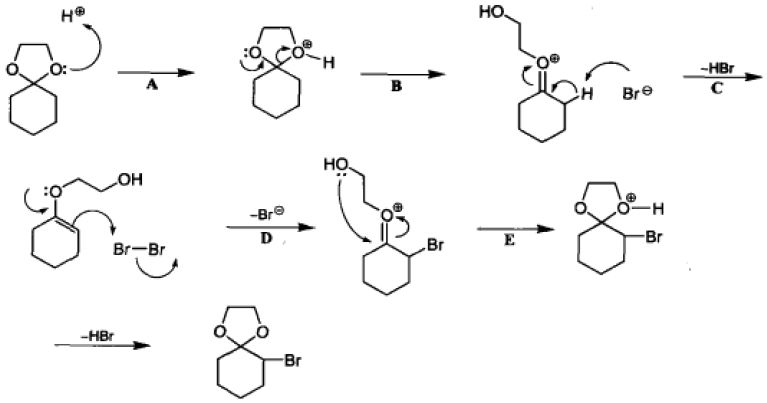
反應實例

反應說明:該反應是在縮酮的α位進行溴代的反應
反應機理

A:首先縮醛在酸性條件下得到一個質子活化
B:在另一個氧原子的孤對電子推動下開環
C:脫去一個質子形成烯醇醚
D:富電子的烯醇醚進攻溴分子得到α-溴代物
E:分子內羥基加成又形成了縮酮。由于受到α-溴原子的吸電子作用縮酮產物更不容易開環,有利于反應向正反應方向進行
本文摘自---有機化學反應機理

反應實例

反應說明:該反應是在縮酮的α位進行溴代的反應
反應機理

A:首先縮醛在酸性條件下得到一個質子活化
B:在另一個氧原子的孤對電子推動下開環
C:脫去一個質子形成烯醇醚
D:富電子的烯醇醚進攻溴分子得到α-溴代物
E:分子內羥基加成又形成了縮酮。由于受到α-溴原子的吸電子作用縮酮產物更不容易開環,有利于反應向正反應方向進行
本文摘自---有機化學反應機理