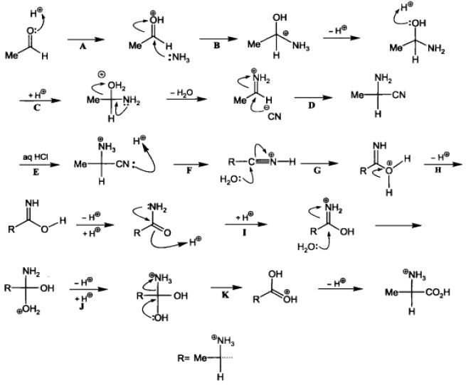
反應實例

反應說明:strecker反應,該反應是用醛、氯化銨和氰化鈉反應生成α-氨基酸的反應。在酸性條件下由NaCN生成的HCN是一種劇毒氣體,所以,做反應時要小心
反應機理

A:醛羰基質子化
B:氨分子與活化了的醛基加成,然后脫去一個質子生成半酰胺
C:羥基氧質子化,然后在氮原子的幫助下消去一分子水形成亞胺正離子
D:氰負離子與亞胺正離子加成形成α-氨基腈
E:酸性處理,首先氨基得到一個質子
F:氰基也得到一個質子活化
G:一分子水在活化了的氰基上加成
H:脫去一個質子后互變異構
I:酰胺也質子化,然后一分子水加成
J:質子交換
K:消去一分子氨,再脫去一個質子得到α-氨基酸
本文摘自---有機化學反應機理







