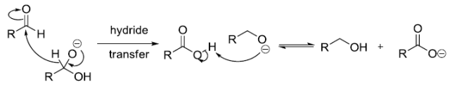
在芳香醛、甲醛或其他無α-H的脂肪醛之間發生的氧化還原反應。堿用于產生相應的醇和酸產物。


反應機理
途徑A:

途徑B:

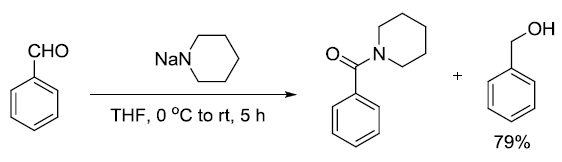
反應實例




參考文獻
1. Cannizzaro, S. Ann. 1853,88, 129-130.
2. Geissman, T. A. Org.React. 1944, 1, 94-113. (Review).
3. Russell, A. E.; Miller, S.P.; Morken, J. P. J. Org. Chem. 2000, 65, 8381-8383.
4. Yoshizawa, K.; Toyota, S.;Toda, F. Tetrahedron Lett. 2001, 42, 7983-7985.
5. Reddy, B. V. S.; Srinvas,R.; Yadav, J. S.; Ramalingam, T. Synth. Commun. 2002, 32,
219-223.
6. Ishihara, K.; Yano, T. Org.Lett. 2004, 6, 1983-1986.
7. Curini, M.; Epifano, F.;Genovese, S.; Marcotullio, M. C.; Rosati, O. Org. Lett. 2005,
7, 1331-1333.
8. Basavaiah, D.; Sharada, D.S.; Veerendhar, A. Tetrahedron Lett. 2006, 47,
5771-5774.
9. Ruiz-Sanchez, A. J.; Vida,Y.; Suau, R.; Perez-Inestrosa, E. Tetrahedron 2008, 64,
11661-11665.
10. Yamabe, S.; Yamazaki, S. Org.Biomol. Chem. 2009, 7, 951-961.
11. Shen, M.-G.; Shang, S.-B.;Song, Z.-Q.; Wang, D.; Rao, X.-P.; Gao, H.; Liu, H. J.
Chem. Res. 2013, 37, 51-52.
本文來自 Name Reactions:A Collection of Detailed Mechanisms
and Synthetic Applications--Fifth Edition







