由磺酰基酮肟和堿反應可得到α-氨基酮凈轉化是從酮經肟轉化為α-氨基酮。

反應機理

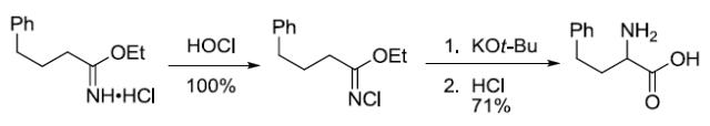
反應實例




參考文獻
1. Neber, P. W.; v.Friedolsheim, A. Ann. 1926, 449, 109–134.
2. O’Brien, C. Chem. Rev. 1964,64, 81–89. (Review).
3. LaMattina, J. L.; Suleske,R. T. Synthesis 1980, 329–330.
4. Verstappen, M. M. H.;Ariaans, G. J. A.; Zwanenburg, B. J. Am. Chem. Soc. 1996,
118, 8491–8492.
5. Oldfield, M. F.; Botting, N.P. J. Labeled Compd. Radiopharm. 1998, 16, 29–36.
6. Palacios, F.; Ochoa deRetana, A. M.; Gil, J. I. Tetrahedron Lett. 2002, 41,5363-–
5366.
7. Ooi, T.; Takahashi, M.;Doda, K.; Maruoka, K. J. Am. Chem. Soc. 2002, 124, 7640–
7641.
8. Garg, N. K.; Caspi, D. D.;Stoltz, B. M. J. Am. Chem. Soc. 2005, 127, 5970–5978.
9. Taber, D. F.; Tian, W. J.Am. Chem. Soc. 2006, 128, 1058–1059.
10. Richter, J. M. NeberRearrangement. In Name Reactions for Homologations-Part I;
Li, J. J., Ed.; Wiley: Hoboken,NJ, 2009, pp 464







